Last21
Tema 3 de apuntes, copiado en clase.
Tema 3 - Cálculo diferencial e integral.pdf
27 páginas
Apuntes - Relación Tema 5 Mates 2.pdf
pdf
7 páginas
102
0
Exámenes - Examen final Septiembre 2017.pdf
1 página
222
2
Exámenes - Examen final Junio 2017.pdf
243
Apuntes - Tema 1 Matematicas 2.pdf
41 páginas
81
Apuntes - Relacion ejercicios Tema 1.pdf
16 páginas
183
Exámenes - Prueba 1.pdf
2 páginas
188
1
Apuntes - Tema 2 Matematicas 2.pdf
20 páginas
45
Apuntes - Relacion Tema 3 Mates 2.pdf
115
Exámenes - parcial mates ii.pdf
173
Exámenes - mates2.rtf
rtf
34
Apuntes - Tema 6 con ejercicios.pdf
11 páginas
48
Apuntes - Tema 5 Mates 2.pdf
9 páginas
24
Apuntes - Relacion Tema 4 Mates 2.pdf
10 páginas
67
Exámenes - Examen 2017-2018.pdf
231
3
Apuntes - Tema 4 Mates 2.pdf
17
Exámenes - Tema 3 - Cálculo diferencial e integral.pdf
114
Ejercicios - Relacion I resuelta.pdf
18 páginas
168
Exámenes - Pruebas2017.pdf
132
Exámenes - Examen-ordinaria-resuelto-2023.pdf
15 páginas
101
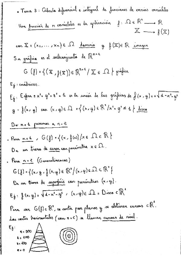
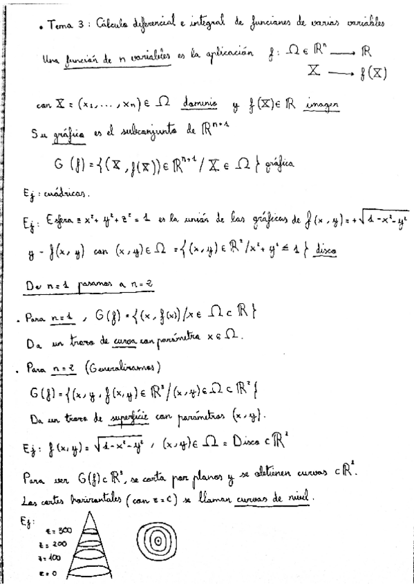
Apuntes - Tema 3 - Cálculo diferencial e integral.pdf
95