marinagarcix
temario
Cada documento viene con un quiz resuelto
IntegracionEnCamposVectorialesTema5.pdf
11 páginas
IntegralesMultiplesTema4.pdf
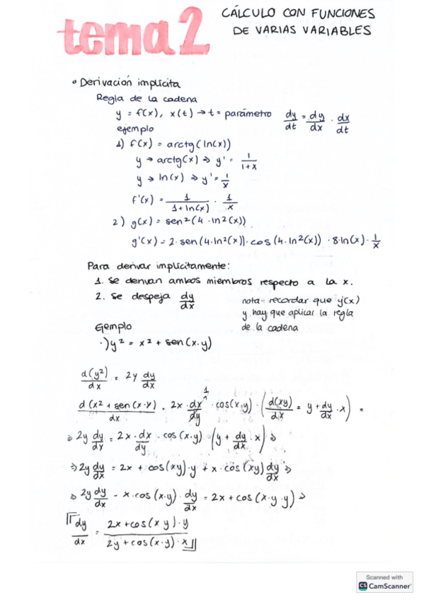
Tema2CalculoFuncionesVariasVariables.pdf
12 páginas
funcionesVariasVariablestema1.pdf
Ejercicios - MATLAB-1-5.pdf
pdf
5 páginas
41
0
Apuntes - Tema2CalculoFuncionesVariasVariables.pdf
3
Apuntes - funcionesVariasVariablestema1.pdf
2
Apuntes - Resumenes-Parcial-1--examen-resuelto.pdf
13 páginas
Prácticas - Practicas-Matlab-1-y-2.pdf
6 páginas
Apuntes - Resumen-Parcial-2--examen.pdf
Apuntes - IntegracionEnCamposVectorialesTema5.pdf
Apuntes - IntegralesMultiplesTema4.pdf