ingeniofante
Teoria y Problemas
Función estrictamente convexa.pdf
1 página
index.pdf
9 páginas
Interpretación geométrica derivadas.pdf
MatIIBolPrT1.pdf
4 páginas
MatIIBolPrT2.pdf
6 páginas
MatIIBolPrT3.pdf
3 páginas
Óptimos.pdf
Plano tangente.pdf
Punto de silla.pdf
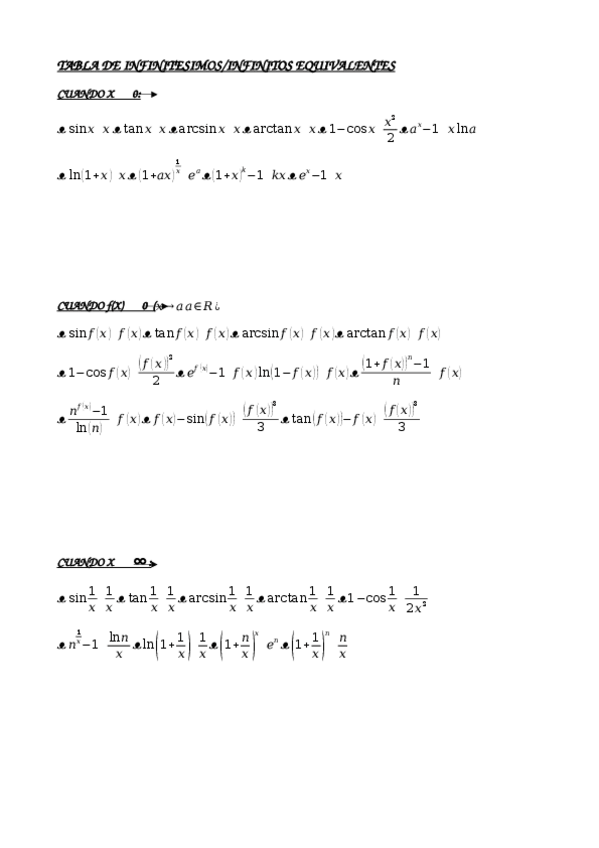
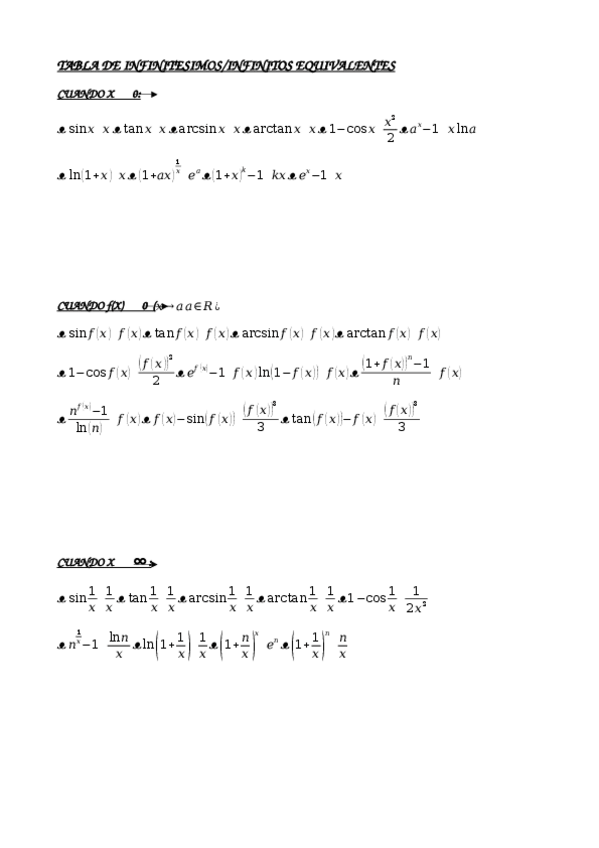
TABLA DE INFINITESIMOS.docx
Apuntes - Apuntes mates II (TODOS LOS TEMAS).pdf
pdf
114 páginas
27
0
Exámenes - parcial2_resuelto_MatII_2018.pdf
10 páginas
30
Exámenes - Examen_ordinaria_resuelto.pdf
14 páginas
34
Exámenes - resolucion_parcial_1.pdf
23
Exámenes - resolucion_parte1_ordinaria_2019.pdf
5 páginas
28
Exámenes - resolucion_examen 20Mayo.pdf
Exámenes - PrimerParcial11-03_resolución.pdf
Exámenes - resPARCIALT123.pdf
Exámenes - resolucion_parte2_ordinaria_2019.pdf
13
Exámenes - ConvextraordinariaMatII2019-parte1.pdf
18
Ejercicios - resolucion_Parcial1_MatesII_2019.pdf
16
Apuntes - MatIIBolPrT1.pdf
10
Ejercicios - Parcial_1_MatII_2019.pdf
15
Apuntes - TABLA DE INFINITESIMOS.docx
docx
Exámenes - Parcial_2_MatII_IOI2018.pdf
Exámenes - ConvextraordinariaMatII2019-parte2.pdf
11
Apuntes - Teoria-T1-MatesII.pdf
2 páginas
Exámenes - Parcial_1_MatII_2018_extra.pdf
Exámenes - resolucion-extraordinaria2019-1.pdf
Trabajos - problema1trabajo1grupo6.pdf
5