Todo
Ejercicios
chevron_left
chevron_right

ejercicios

-

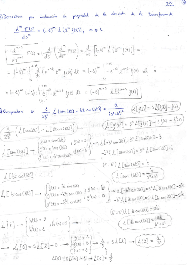
EJERCICIOS RESUELTOS

He publicado nuevos ejercicios de 2º Matemáticas II: EJERCICIOS RESUELTOS

Tarea-Matematicas-EDO-orden-1.pdf
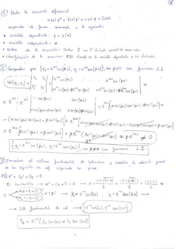
EDO-lineal-orden-n-2.pdf
EDO-lineal-orden-n.pdf
Matematicas-variables-separables.pdf
TEMA-2-EDO-lineal-orden-n.pdf
Transformada-de-Laplace.pdf
¡Estás al día!

¡Estás al día!

Has visto todos los archivos