chevron_left
chevron_right
Todo
Apuntes
Exámenes
chevron_left
chevron_right
Anónimo

@Anónimo

He publicado nuevos examenes de 1º Matemáticas II: MATES-2-Parcial-temas-3-y-4-2022-2023-mayo.pdf

1 página

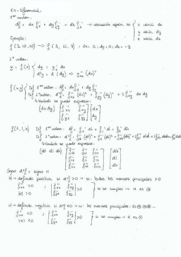
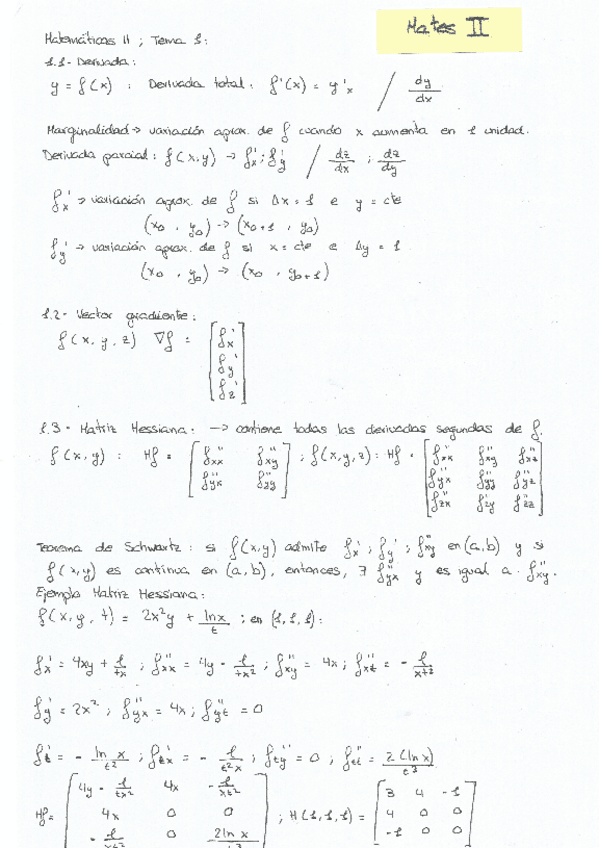
He publicado nuevos apuntes de 1º Matemáticas II: MATES-II.pdf

35 páginas
¡Estás al día!

¡Estás al día!

Has visto todos los archivos