Portada
Asignatura
Grado en Ingeniería de Tecnologías Industriales (UPV)
Matemáticas III
Fecha de subida
11 ene 2020
Categoría
examenes
Etiquetas
Apuntes - Mates-3-1er-Parcial-COMPLETO.pdf
pdf
45 páginas
94
5
Apuntes - MATES-3-2o-Parcial-COMPLETO.pdf
39 páginas
89
3
Exámenes - 2P-Final-2017-18.pdf
6 páginas
86
1
Apuntes - Control 1_Fórmulas importantes.pdf
3 páginas
67
2
Exámenes - 2P-Parcial-2017-18.pdf
7 páginas
61
Exámenes - 2P-Parcial-2019-20.pdf
5 páginas
68
Apuntes - ejercicios-todo-lo-que-entra-para-el-primer-parcial-ACADEMIA.pdf
25 páginas
47
Exámenes - 2P-Parcial-2016-17-GITI.pdf
75
Exámenes - Examen-mates-3-2014.pdf
49
Exámenes - Resolucion-sistematica-1p-ejercicios.pdf
23 páginas
39
Apuntes - Tema8_Fourier y Separación de variables - Pasos resolución ejercicios.pdf
10 páginas
35
0
Exámenes - 1P-Final-2018-19-GITI.pdf
45
Exámenes - Final-Parcial-1-MIII-GITI-18-01-2019-P3-Solucion.pdf
34
Otros - Resolucion-sistematica-1p-ejercicios.pdf
21 páginas
46
Exámenes - 2P-Control-2019-20-GITI.pdf
2 páginas
44
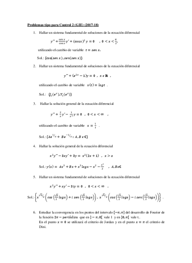
Exámenes - 1P-Control-2017-18-GIE.pdf
52
Apuntes - Tema4_Lagrange-Sylvester - Pasos resolución ejercicios.pdf
30
Apuntes - Control 2_Fórmulas importantes.pdf
4 páginas
37
Apuntes - Tema7_Derivadas parciales - Pasos resolución ejercicios.pdf
38
Apuntes - Resolucion-problemas-Matematicas-III-1P.pdf
42