Todo
Apuntes
Ejercicios
Exámenes
Otros
Prácticas
publication
Test
Trabajos
chevron_left
chevron_right

examenes

-

Lección 1 Mates III

He publicado nuevos examenes de 1º Matemáticas III: Lección 1 Mates III

Tipo-Test-Leccion-1-Mates-III.pdf

Prácticas de Máxima

Miniatura no disponible

ejercicios

-

Sesiones de Problemas

He publicado nuevos ejercicios de 2º Matemáticas III: Sesiones de Problemas

MATES III_Sesion Problemas 2 (+ Resumen).pdf.pdf.pdf
MATES III_Sesion Problemas 1.pdf.pdf

Apuntes listos para que os paséis el examen por el forro. A ver, chavales: ni se os ocurra mandarme un mensaje con dudas, buscad en Google o lloradle al profe. Bajáos esto que necesito pasta para invertirlo en madrid-real sociedad. ???

5 páginas

Teoria y ejemplos Mates 3

54 páginas

He publicado nuevos apuntes de 2º Matemáticas III: Ejercicios-resueltos-Tema-2.pdf

20 páginas

Problemas resueltos y mascaditos. Si tenéis dudas, tengo los MDs abiertos para resolver dudas(solo mujeres). A los tíos que os den, buscaos la vida o preguntadle a vuestro padre. Nenas, escribidme que el tito os explica el temario (y lo que surja) en la c

3 páginas

Aquí tenéis el Tema 1 resuelto y mascadito. Hecho a las 4 de la mañana en un área de descanso mientras el camión enfriaba. Descargadlo rápido que necesito liquidez para recuperar lo que palmé anoche en la ruleta. Si aprobáis, os invito a una caña; si susp

9 páginas

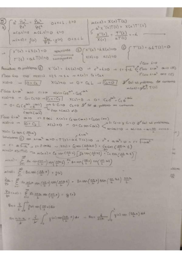
He publicado nuevos apuntes de 2º Matemáticas III: Ecuacion-del-calor-ondas-y-pasos.pdf

3 páginas

He publicado nuevos apuntes de 2º Matemáticas III: Formulas-interesantes-de-integracion.pdf

1 página

He publicado nuevos apuntes de 2º Matemáticas III: Serie-de-Fourier-y-EDPs.pdf

3 páginas

He publicado nuevos apuntes de 2º Matemáticas III: SISTEMAS-de-EDOS.pdf

2 páginas

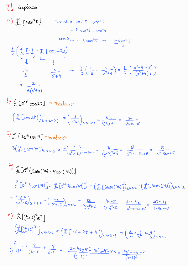
He publicado nuevos apuntes de 2º Matemáticas III: Transformada-de-Laplace.pdf

3 páginas

examenes

-

Parcial 1 - Matemáticas III

He publicado nuevos examenes de 2º Matemáticas III: Parcial 1 - Matemáticas III

Matemáticas III - Parcial 1 - Ingeniesaurio.pdf
Matematicas-III-Parcial-1-2024-25-Ingeniesaurio.pdf
Matematicas-III-Parcial-1-2023-24-Ingeniesaurio.pdf
Matematicas-III-Parcial-1-2022-23-Ingeniesaurio.pdf
Matematicas-III-Parcial-1-2021-22-Ingeniesaurio.pdf
Matematicas-III-Parcial-1-2020-21-Ingeniesaurio.pdf

practicas

-

Prácticas Matlab Resueltas

Practicas desde la 3 hasta la 10 resueltas. La 1 y la 2 eran solamente de iniciación

Mates-3-Practica-3-Resuelta.pdf
Mates-3-Practica-10-Resuelta.pdf
Mates-3-Practica-9-Resuelta.pdf
Mates-3-Practica-8-Resuelta.pdf
Mates-3-Practica-7-Resuelta.pdf
Mates-3-Practica-6-Resuelta.pdf

examenes

-

Recopilario Exámenes Segundo Parcial

He publicado nuevos examenes de 2º Matemáticas III: Recopilario Exámenes Segundo Parcial

Segundo-Parcial-2024-2025.pdf
Segundo-Parcial-Final-2024-2025.pdf
Segundo Parcial 2018-2019.pdf.pdf
Segundo Parcial 2019-2020.pdf.pdf
Segundo Parcial 2023-2024.pdf.pdf
Segundo Parcial Final 2022-2023.pdf.pdf

Hola a todos 😊 Doy clases particulares de matemáticas, tanto online como presencial. Si necesitáis ayuda con la asignatura, ejercicios o preparación de exámenes, podéis escribirme sin problema al 682 592 493. ¡Gracias!

He publicado nuevos apuntes de 2º Matemáticas III: Nota-mates-III.xlsx

excel

He publicado nuevos examenes de 2º Matemáticas III: Examen-Ordinario-25-26.pdf

2 páginas
Anónimo

@Anónimo

He publicado nuevos examenes de 1º Matemáticas III: formulario-de-examen.pdf

2 páginas
Anónimo

@Anónimo

He publicado nuevos examenes de 1º Matemáticas III: parcial-y-examen-2025.pdf

3 páginas
Anónimo

@Anónimo

He publicado nuevos apuntes de 1º Matemáticas III: formulario-tema-1-2-y-3.pdf

3 páginas
Anónimo

@Anónimo

He publicado nuevos ejercicios de 1º Matemáticas III: actividades-y-solucion-de-parcial.pdf

14 páginas
Anónimo

@Anónimo

He publicado nuevos apuntes de 1º Matemáticas III: apuntes.pdf

28 páginas

He publicado nuevos trabajos de 2º Matemáticas III: entregable-grupo-1-series-numericas1.pdf

6 páginas

He publicado nuevos trabajos de 2º Matemáticas III: entregable-grupo-2-series-numericas-1.pdf

4 páginas

He publicado nuevos trabajos de 2º Matemáticas III: entregable-2-2.pdf

9 páginas

He publicado nuevos trabajos de 2º Matemáticas III: entregable-2-11.pdf

8 páginas

apuntes

-

Apuntes/Formularios Todos Los Temas

He publicado nuevos apuntes de 2º Matemáticas III: Apuntes/Formularios Todos Los Temas

Tema-2-Ecuaciones-Diferenciales-de-Segundo-Orden.pdf
Tema-3-Sistemas-Diferenciales-Lineales.pdf
Tema-5-Soluciones-en-Series-de-Potencias-de-EDOs-Lineales.pdf
Tema 6 Series de Fourier.pdf.pdf
Tema 7 Ecuaciones en Derivadas Parciales.pdf
Tema-1-Ecuaciones-Diferenciales-de-Primer-Orden.pdf

He publicado nuevos apuntes de 2º Matemáticas III: Apuntes-Fourier.pdf

12 páginas

He publicado nuevos apuntes de 2º Matemáticas III: Apuntes-LAPLACE.pdf

14 páginas

He publicado nuevos apuntes de 2º Matemáticas III: Ondas-y-Difusion.pdf

46 páginas

He publicado nuevos ejercicios de 2º Matemáticas III: ResueltosAutovalores.pdf

7 páginas

He publicado nuevos ejercicios de 2º Matemáticas III: EjercicioDerivacionIntegracionResuelto.pdf

4 páginas

apuntes

-

PREPARACIÓN A EXAMEN

En este cuaderno encontrarás Todos los tipos de problemas que pueden caer en los exámenes, además de la teoría en la cual se basan los problemas. En cada tema hay un problema resuelto paso a paso con su correspondiente parte teórica. TODOS los problemas q

PREPARACION-A-EXAMEN-MATEMATICAS-III-parte-2.pdf
PREPARARACION-A-EXAMEN-MATEMATICAS-III-parte-1.pdf

Recopilación de Sistemas de ecuaciones de EXAMEN

18 páginas

En este documento encontrarás problemas de Laplace sacados de examen. Todos resueltos y corregidos

45 páginas

En este archivo encontrarás EDOS de 2 orden resueltas, todas ellas son sacadas de exámenes (EN/FEB/SEPT)

33 páginas

En este archivo encontraras una recopilación de EDOS resueltos de primer orden TODOS ellos sacados de exámenes. si los haces todos dominarás las EDOS!

59 páginas

Recopilación de problemas de trayectorias ortogonales y problemas de existencia y unicidad sacados de examen (ENERO/FEBRERO/SEPT) incluye examenes parciales resueltos de otros años

45 páginas

He publicado nuevos apuntes de 2º Matemáticas III: Resumen-Matematicas-III.pdf

19 páginas

apuntes

-

Parcial 3

Boletines resueltos para el tercer parcial y exámenes

Prueba3MatIII25-26.pdf
TerceraPruebaMecanica2526.pdf
Bol5MIII25-26-HECHO.pdf
Bol6MIII25-26-HECHO.pdf
RESUMEN-T5.pdf
RESUMEN-TEMA-5.pdf

apuntes

-

Parcial 2

Boletines resueltos para el segundo parcial y exámenes

Bol3MIII24-25-HECHO.pdf
Bol4MIII25-26-HECHO.pdf
Prueba2MatIII25-26.pdf
SegundaPruebaMec2526.pdf

apuntes

-

Parcial 1

Boletines resueltos para el primer parcial y exámenes

Bol1MIII25-26-HECHO.pdf
Bol2MIII25-26-HECHO.pdf
Prueba-1-Mecanica-2526.pdf
Prueba1MatIII25-26.pdf

He publicado nuevos apuntes de 2º Matemáticas III: ECUACIONES DIFERENCIALES _ Introducción a las ecuaciones diferenciales (Apuntes y ejemplos).pdf

5 páginas

apuntes

-

RELACIÓN DE PROBLEMAS

Todos los problemas de clase resueltos mas algunas explicaciones de dados en prácticas.

TEMA-1-RELACION-DE-PROBLEMAS.pdf
TEMA-2-RELACION-DE-PROBLEMAS.pdf
TEMA-3-RELACION-DE-PROBLEMAS.pdf
TEMA-4-RELACION-DE-PROBLEMAS.pdf

apuntes

-

TODA LA TEORIA MUY COMPLETA

He publicado nuevos apuntes de 2º Matemáticas III: TODA LA TEORIA MUY COMPLETA

TEMA-1-TEORIA-MATEMATICAS-III.pdf
TEMA-2-TEORIA-MATEMATICAS-III.pdf
TEMA-3-TEORIA-MATEMATICAS-III.pdf
TEMA-4-TEORIA-MATEMATICAS-III.pdf
TEMA-5-TEORIA-MATEMATICAS-III.pdf
TEMA-6-TEORIA-MATEMATICAS-III.pdf

Colección de ejercicios de los diferentes temas de Matemáticas III.

30 páginas

Apuntes Matemáticas III con ejemplos incluidos.

52 páginas

Ejercicios resueltos del Boletín 1

13 páginas

He publicado nuevos examenes de 2º Matemáticas III: Examenes-resueltos-MIII.pdf

29 páginas

He publicado nuevos ejercicios de 2º Matemáticas III: Ejercicio-de-todos-los-temas-MIII.pdf

32 páginas

He publicado nuevos apuntes de 2º Matemáticas III: Resumenes-Temas-MIII.pdf

10 páginas

apuntes

-

MAT 3

Todos los contenidos de Matematicas 3

EJERCICIOS-LAPLACE-TEMA-5.pdf
EXAMEN-FINAL-13-01-25.pdf
TEORIA-T1.pdf
TEORIA-T2-EDO.pdf
TEORIA-T3-EDOS-DE-ORDEN-SUPERIOR.pdf
EJERCICIOS-T3-EDOS-DE-ORDEN-SUPERIOR.pdf

He publicado nuevos examenes de 2º Matemáticas III: EXAMEN_RESUELTO_FEBRERO_2025.pdf.pdf

4 páginas

He publicado nuevos ejercicios de 2º Matemáticas III: SEMINARIO_TEMA6.pdf.pdf

3 páginas

He publicado nuevos examenes de 2º Matemáticas III: MODELO_EXAMEN2.pdf.pdf

7 páginas

examenes

-

EXAMENES RESUELTOS

He publicado nuevos examenes de 1º Matemáticas III: EXAMENES RESUELTOS

FEBRERO-2014-RESUELTO.pdf
FEBRERO-2015-RESUELTO.pdf
FEBRERO-2016-RESUELTO.pdf
FEBRERO-2017-RESUELTO.pdf
FEBRERO-2018-RESUELTO.pdf
JUNIO-2018.pdf

examenes

-

EXAMENES RESUELTOS

He publicado nuevos examenes de 1º Matemáticas III: EXAMENES RESUELTOS

FEBRERO-2014-RESUELTO.pdf
FEBRERO-2015-RESUELTO.pdf
FEBRERO-2016-RESUELTO.pdf
FEBRERO-2017-RESUELTO.pdf
FEBRERO-2018-RESUELTO.pdf
JUNIO-2018.pdf

examenes

-

EXAMENES RESUELTOS

He publicado nuevos examenes de 1º Matemáticas III: EXAMENES RESUELTOS

FEBRERO-2014-RESUELTO.pdf
FEBRERO-2015-RESUELTO.pdf
FEBRERO-2016-RESUELTO.pdf
FEBRERO-2017-RESUELTO.pdf
FEBRERO-2018-RESUELTO.pdf
JUNIO-2018.pdf