Portada
Asignatura
Doble Grado en Ingeniería Eléctrica e Ingeniería Mecánica (US)
Matemáticas III
Fecha de subida
23 ene 2020
Categoría
examenes
Etiquetas
Ejercicios - Boletin-tema-4.pdf
pdf
31 páginas
92
1
Ejercicios - Boletin-T5.pdf
0 páginas
33
Ejercicios - Boletin-T3.pdf
18 páginas
51
Ejercicios - Boletin-T1.pdf
29 páginas
57
Ejercicios - Boletin-T2.pdf
24 páginas
37
Apuntes - Tema-4.pdf
17 páginas
28
0
Exámenes - Exámenes Resueltos.pdf
82 páginas
22
Apuntes - TEMA-3-Sistema-de-Ecuaciones-Diferenciales-de-Primer-Orden.pdf
27 páginas
18
Apuntes - TEMA-2-Ecuaciones-lineales-de-segundo-orden-o-mayor.pdf
28 páginas
14
Apuntes - TEMA-1-Ecuaciones-diferenciales-ordenarias-EDO-de-primer-orden-.pdf
16
2
Apuntes - Tema-5.pdf
12 páginas
20
Apuntes - tema-1.pdf
26
Apuntes - Tema-6.pdf
7 páginas
10
Apuntes - TEMA-5-Soluciones-en-Series-de-Potencias-de-EDO-Lineal.pdf
14 páginas
7
3
Apuntes - TEMA-4-La-transformada-de-Laplace.pdf
11 páginas
15
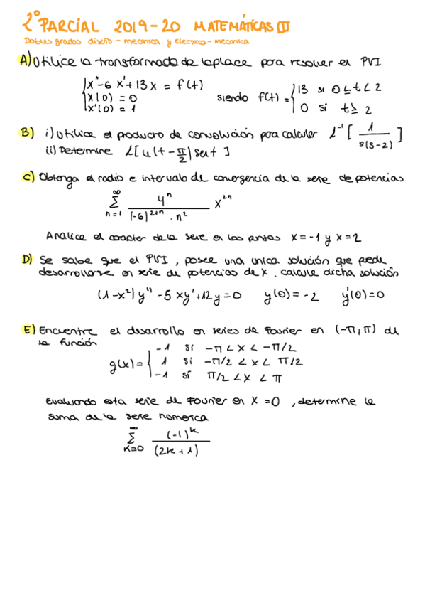
Exámenes - 2do-parcial-2019-20-doble.pdf
1 página
Apuntes - tema-2.pdf
8
Apuntes - aplica_t30.pdf
10 páginas
Exámenes - wuolah-free-Examenes Mates III (1).pdf
42 páginas
12
Apuntes - Tema-3.pdf
9