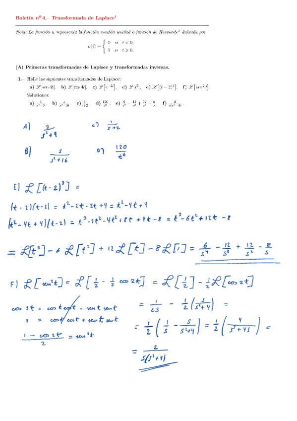
Boletin-tema-4.pdf
Portada
Asignatura
account_balance
Grado en Ingeniería Mecánica (US)
Fecha de subida
22 oct 2022
Categoría
ejercicios
Etiquetas
content_copy
Portada
Asignatura
Grado en Ingeniería Mecánica (US)
Fecha de subida
22 oct 2022
Categoría
ejercicios
Etiquetas