Javiimu_2
EXAMENES-RESUELTOS-OPTIMIZACION.pdf
36 páginas
Prácticas - TOTAL-PRACTICA-MATES-3.pdf
pdf
128 páginas
221
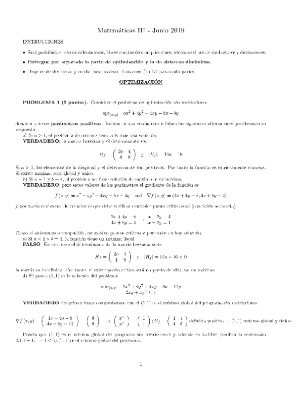
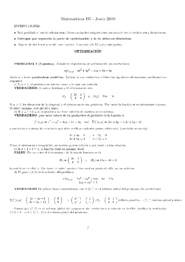
1
Exámenes - EXAMENES-RESUELTOS-OPTIMIZACION.pdf
172
Apuntes - TEMARIO-COMPLETO-MATES-III.pdf
48 páginas
74
2
Apuntes - TEMA 1(4).ECUACIONES DE 1ER ORDEN.pdf
17 páginas
120
Exámenes - Final-Enero-2024-OPTIMIZACION.pdf
5 páginas
91
0
Exámenes - MatesIII-Junio-2016solucion-sistemas.pdf
3 páginas
101
Exámenes - soluciones-examen-SD.pdf
98
Exámenes - soluciones-optimizacion.pdf
29 páginas
118
Exámenes - MatesIII-Junio-2017solucion-sistemas.pdf
94
Exámenes - Solucion-Examen-Enero-2015.pdf
Exámenes - Examen-final-SISTEMA-2024.pdf
100
Exámenes - EXAMEN-INTERMEDIO-10.pdf
102
Apuntes - ejercicios-resueltos-tema-3-optimizacion.pdf
11 páginas
78
Exámenes - Final-Enero-2023.pdf
4 páginas
72
Exámenes - Final-Junio-2023.pdf
68
Exámenes - Solucion-Examen-Enero-2018.pdf
87
Exámenes - Final-Enero-2022.pdf
61
Exámenes - ilovepdfmerged-3.pdf
42 páginas
76
Exámenes - Final-Enero-2024-SISTEMAS-DINAMICOS.pdf
Ejercicios - Sistemas-Dinamicos.pdf
12 páginas
67