Anónimo
Portada
Asignatura
ESO
Matemáticas Orientadas a las Enseñanzas Aplicadas
Fecha de subida
24 abr 2023
Categoría
apuntes
Etiquetas
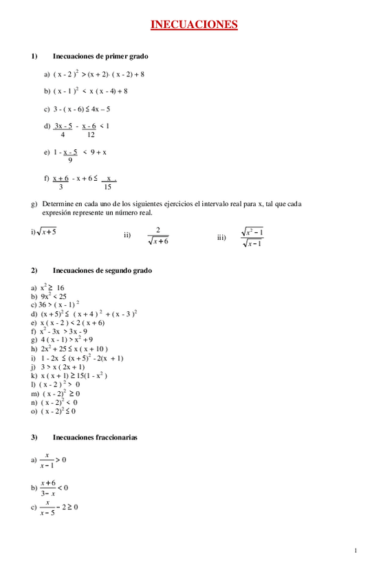
Apuntes - Mates-T1.2.pdf
pdf
6 páginas
11
0
Apuntes - Apuntes-Potencias.pdf
1 página
9
1
Apuntes - Tema-4-Matematicas.pdf
4 páginas
7
Apuntes - Distribución de estadísticas unidimensionales.jpg
jpg
Apuntes - TODO-4oESO-MATEMATICAS-ACADEMICAS.pdf
20 páginas
32
Apuntes - image.jpg
Apuntes - Ejercicios-de-ecuaciones.pdf
24 páginas
8
Ejercicios - 4esoecuacionessistemas.pdf
26 páginas
13
2
Exámenes - Matematicas-Ensenanzas-aplicadas-4ESO-Saber-Hacer.pdf
128 páginas
Apuntes - Numeros reales.pdf
14
Ejercicios - Problemas-de-fracciones.pdf
5 páginas
6
Apuntes - Fórmulas de la geometría plana.jpg
Apuntes - Áreas y Perímetros.jpg
Apuntes - Áreas y volúmenes.jpg
Apuntes - Tema-3-Mates.pdf
13 páginas
4
Apuntes - polinomios2.pdf
9 páginas
Apuntes - Probabilidad-2.pdf
Apuntes - Fracciones-teoria.pdf
Apuntes - 6-trigonometria-aplicaciones.pdf