Anónimo
relacion2a.pdf
9 páginas
Apuntes - Relación1.57_20170811123955
57_20170811123955
363
0
Apuntes - Relación3.03_20170811124947
03_20170811124947
188
Ejercicios - relacion1a.pdf
pdf
7 páginas
274
3
Apuntes - Relación2.09_20170811124418
09_20170811124418
120
Prácticas - Trabajo-mate-practica..ods
ods
2
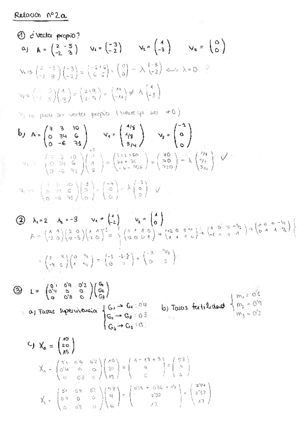
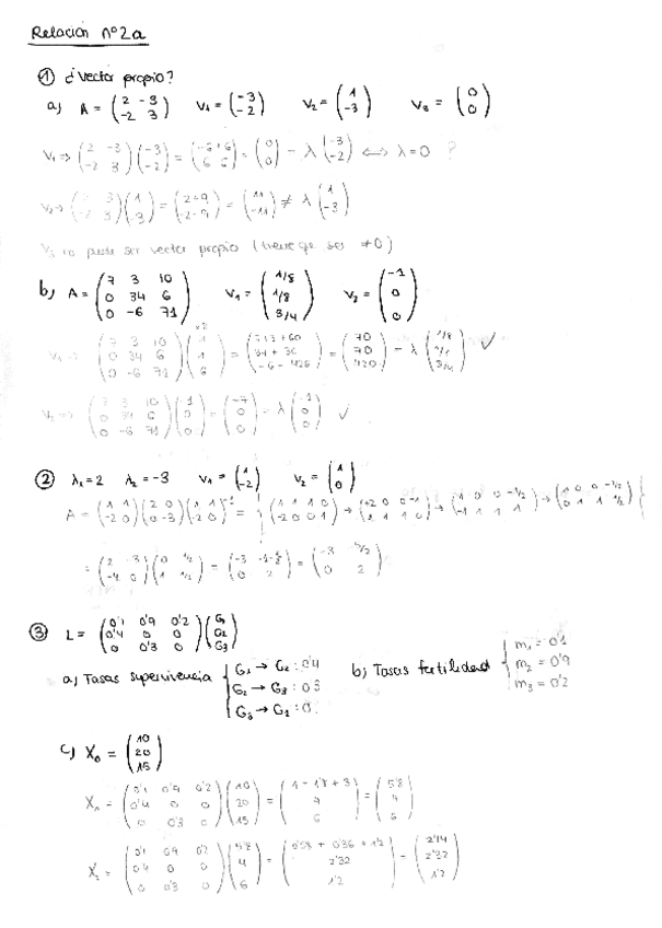
Ejercicios - relacion2a.pdf
179
Apuntes - apuntestema1partefinal.pdf
4 páginas
172
1
Exámenes - primer-parcial-matematicas.pdf
2 páginas
236
4
Ejercicios - relacion3a.pdf
8 páginas
133
Exámenes - examenesmates (1).zip
zip
24
Apuntes - Relación4.17_20170811125300
17_20170811125300
91
Ejercicios - Tema-1-Primera-parte.pdf
13 páginas
182
Exámenes - Prueba3-1314-Resuelta.pdf
3 páginas
112
Prácticas - Modelos Discretos De Crecimiento De Población..xlsx
xlsx
17
Ejercicios - Tema-4a.pdf
Exámenes - Prueba1.pdf
130
Exámenes - RESUELTO-PARCIAL1-2021.pdf
196
Ejercicios - Relacion-tema-1-segunda-parte.pdf
12 páginas
154
Apuntes - apuntestema11314.pdf
101
Ejercicios - Relacion-1A.pdf
22 páginas
171