user_3312262
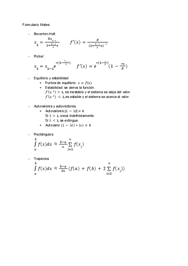
Formulario-Mates-IMPORTANTE..pdf
1 página
Ejercicios - Relación ejercicios Mates.docx
docx
38
0
Ejercicios - ColeccionEjercicios.pdf-1.pdf
pdf
47 páginas
362
2
Apuntes - WhatsApp-Image-2020-01-20-at-12.jpg
jpg
147
1
Exámenes - EXAMEN DE MATEMÁTICAS.pdf
2 páginas
335
Apuntes - EJERCICIOS RESUELTOS
37 páginas
439
Exámenes - EXAMENENERO2016definitivo.pdf
290
Ejercicios - ColeccionEjercicios.pdf
51 páginas
232
Exámenes - examen.jpg
Exámenes - EXAMEN-MATEMATICAS-ENERO-2021.pdf
375
4
Ejercicios - Ejercicios-resueltos.pdf
23 páginas
274
Exámenes - EXAMEN-MATEMATICAS-ENERO-2022.pdf
0 páginas
334
3
172
Exámenes - EXAMENFEBRERO2016.pdf
169
353
Apuntes - EXAMEN-MATES-2020.pdf
213
Exámenes - examen-mates.pdf
10 páginas
200
Exámenes - EXAMENENERO2016.pdf
150
120
Exámenes - EXAMEN-MATEMATICAS-ENERO.pdf
277