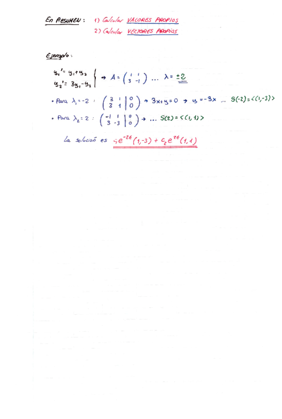
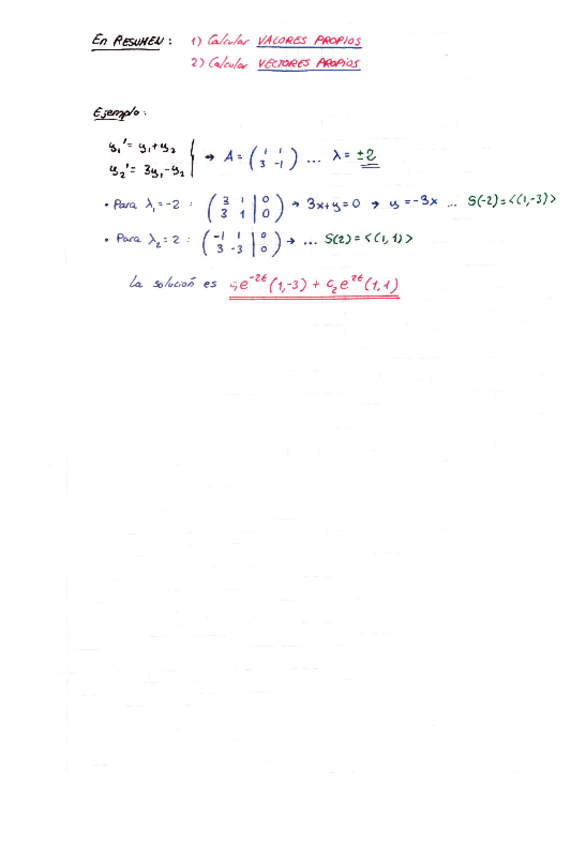
EcuacionesDiferenciales_2.2

GuzCorte

Matemáticas 2021_2022

10 archivos·

TemaFunciones_1.2

25 páginas

TemaFunciones_2.2

24 páginas

ProbabilidadYEstadística_1.2

25 páginas

ProbabilidadYEstadística_2.2

11 páginas

ÁlgrebraLineal_1.2

25 páginas

ÁlgebraLineal_2.2

9 páginas

FuncionesDeVariasVariables_1.2

25 páginas

FuncionesDeVariasVariables_2.2

13 páginas

EcuacionesDiferenciales_2.2

10 páginas

EcuacionesDiferenciales_1.2

25 páginas

content_copy

Archivos recomendados