problemas tema1.pdf

MW8

Problemas Con Solucion

16 archivos·

problemas tema1.pdf

11 páginas

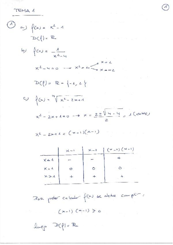
SOLUCION PROBLEMAS TEMA 1.pdf

56 páginas

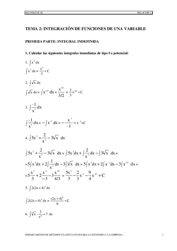
problemas tema2.pdf

10 páginas

soluciones problemas 1 2 y 3.pdf

5 páginas

solucion-problemas integral indefinida.pdf

28 páginas

solucion-problemas integrales definidas.pdf

8 páginas

solucion-problemas integrales inpropias.pdf

7 páginas

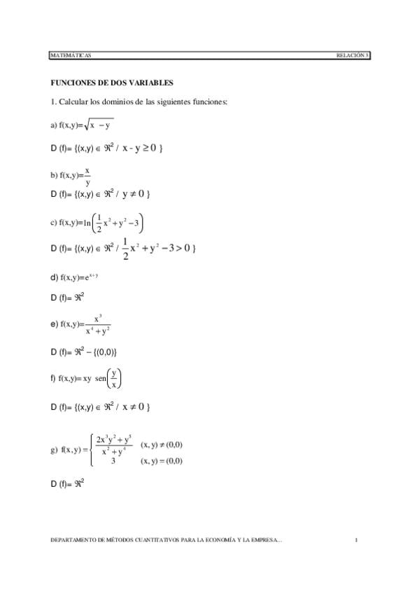
Problemas tema 3-FUNCIONES DOS VARIABLES.pdf

9 páginas

solucion problemas tema 3- Funciones dos variables.pdf

33 páginas

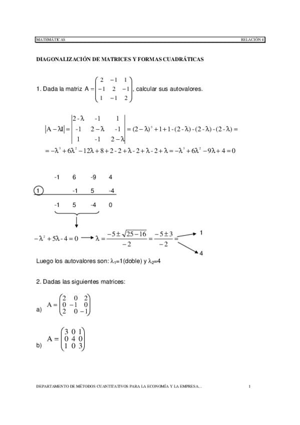
problemas tema4.pdf

4 páginas

solucion problemas tema 4.pdf

37 páginas

problemas tema 5-OPTIMIZACION.pdf

problemas resueltos tema5 (version1)-2ªparte.pdf

solucion problemas tema 5_salvo 16 a 21_-OPTIMIZACION.pdf

problemas tema 6-SERIES NUMÉRICAS.pdf

4 páginas

solucion problemas tema 6-SERIES NUMÉRICAS.pdf

17 páginas

content_copy

Archivos recomendados