Portada
Asignatura
Grado en Administración y Dirección de Empresas (UGR)
Matemáticas
Fecha de subida
23 oct 2022
Categoría
apuntes
Etiquetas
Apuntes - MATEMATICAS.pdf
pdf
105 páginas
959
9
Ejercicios - Soluciones-T1.pdf
11 páginas
871
5
Exámenes - Examen-Mates-completo-enero-2023-resuelto.pdf
404
16
Ejercicios - Soluciones-T3.pdf
18 páginas
795
3
Apuntes - Relacion 7. RESUELTA.pdf
20 páginas
483
7
Apuntes - Relacion 5. RESUELTA.pdf
15 páginas
371
Ejercicios - Soluciones-T2.pdf
12 páginas
648
4
Ejercicios - Soluciones-T5.pdf
10 páginas
489
Ejercicios - Soluciones-T4.pdf
19 páginas
565
2
Apuntes - Relacion 6. RESUELTA.pdf
352
Apuntes - Relacion 1. RESUELTA.pdf
14 páginas
511
1
Ejercicios - Soluciones-T6.pdf
463
Apuntes - Relaciones-1-2-3. RESUELTAS.pdf
56 páginas
389
Apuntes - Relacion 3. RESUELTA.pdf
30 páginas
416
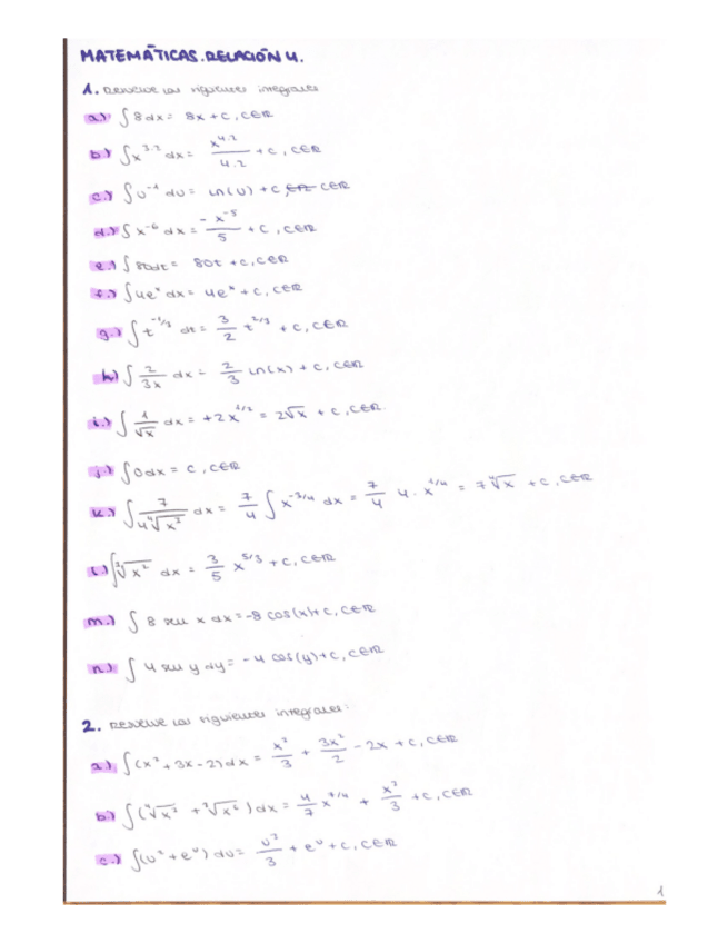
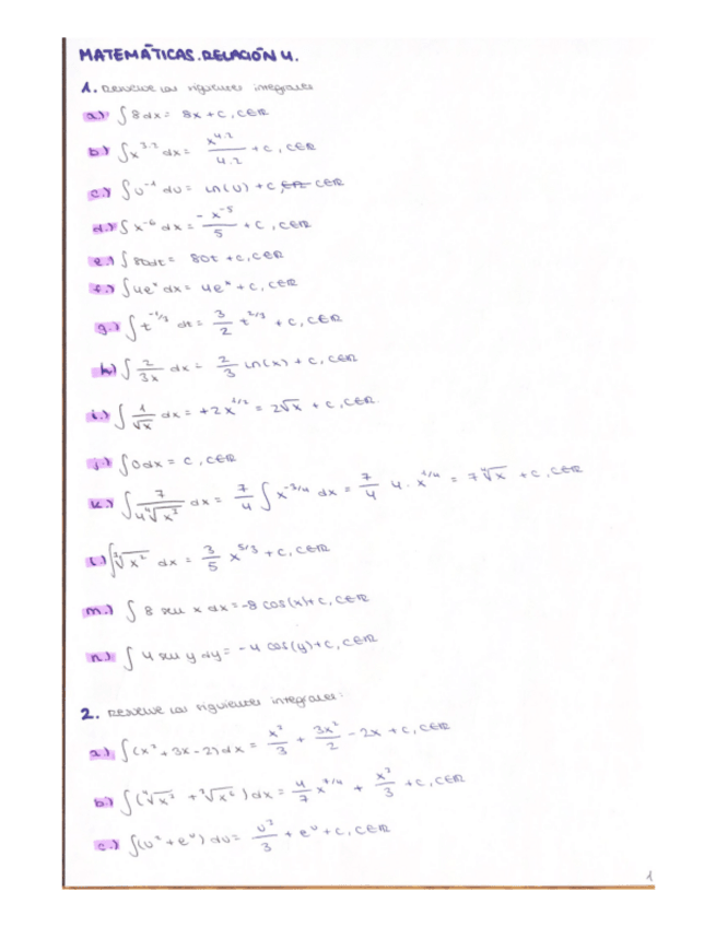
Apuntes - Relacion 4. RESUELTA.pdf
Ejercicios - Soluciones-ej-1234a-T7.pdf
3 páginas
374
Apuntes - Relacion 2. RESUELTA.pdf
376
0
Apuntes - resumen-completo-todo-mates.pdf
248
Exámenes - examen-de-febrero-2015.pdf
343
Apuntes - SEMINARIO TAYLOR.pdf
4 páginas
187