QUIMICAUNIZAR

2º CUATRIMESTRE.pdf

Miniatura del documento 2º CUATRIMESTRE.pdf

Portada

Miniatura del documento 2º CUATRIMESTRE.pdf

Fecha de subida

14 jun 2017

Categoría

apuntes

Información

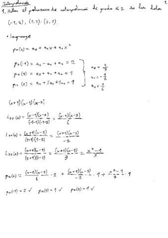
Material complementario. Fichas resumidas de las principales operaciones utilizadas para la realización de los ejercicios del 2º cuatrimestre. (Interpolación, Integrales simples y dobles, de línea y superficie, Ecuaciones diferenciales).

Etiquetas

category

apuntes

content_copy

Archivos recomendados