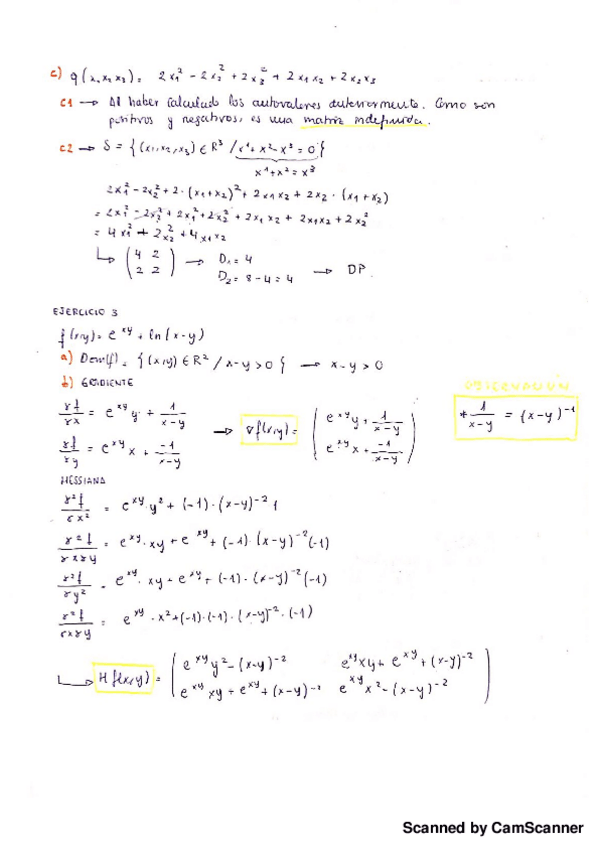
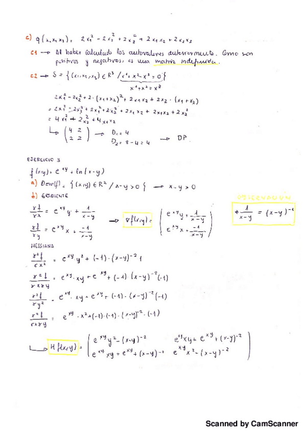
2.pdf
Portada
Asignatura
account_balance
Grado en Finanzas y Contabilidad (US)
Fecha de subida
09 ago 2017
Categoría
apuntes
Etiquetas
content_copy
Portada
Asignatura
Grado en Finanzas y Contabilidad (US)
Fecha de subida
09 ago 2017
Categoría
apuntes
Etiquetas