Todo
Apuntes
Prácticas
chevron_left
chevron_right
Anónimo

@Anónimo

practicas

-

practicas sin resolver

He publicado nuevos practicas de 1º Matemáticas: practicas sin resolver

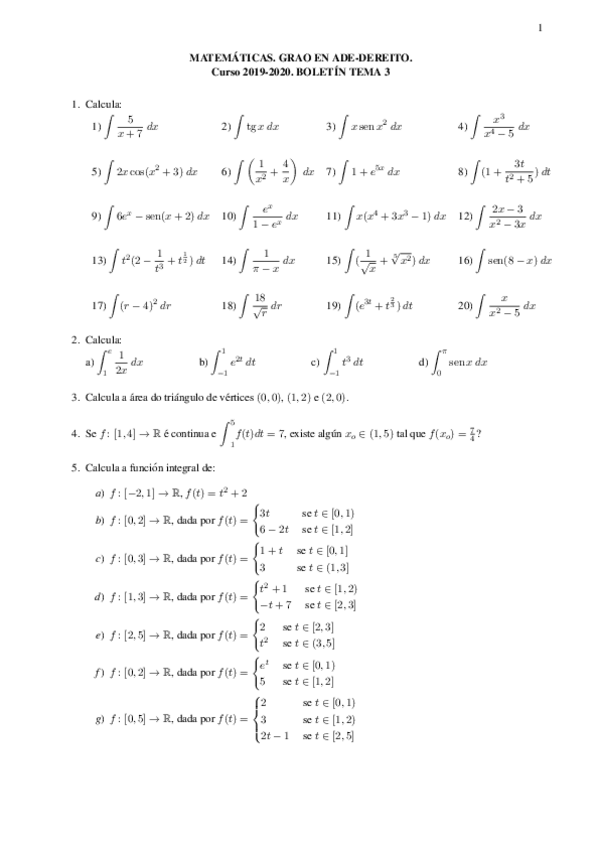
Problemastema3.pdf
Problemastema2.pdf
Problemastema1.pdf
Problemastema6.pdf
Problemastema4.pdf
Problemastema5.pdf

He publicado nuevos apuntes de 1º Matemáticas: TEMA-3.pdf

4 páginas
¡Estás al día!

¡Estás al día!

Has visto todos los archivos