Todo
Apuntes
Exámenes
chevron_left
chevron_right

apuntes

-

RESUMEN PARTE ALGEBRA

He publicado nuevos apuntes de 1º Matemáticas: RESUMEN PARTE ALGEBRA

T1-CONICAS-Y-CUADRICAS.pdf
T2-NUMEROS-COMPLEJOS.pdf
T3-MATRICES-Y-SEL.pdf
T4-ESPACIO-VECTORIAL.pdf
T5-ORTOGONALIDAD-Y-MINIMOS-CUADRADOS.pdf
T6-AUTOVALORES-Y-AUTOVECTORES.pdf

apuntes

-

RESUMEN PARTE CALCULO

He publicado nuevos apuntes de 1º Matemáticas: RESUMEN PARTE CALCULO

T1-FUNCIONES-Y-GRAFICAS.pdf
T2-POLINOMIOS-DE-TAYLOR.pdf
T3-ECUACIONES-DIFERENCIALES-PRIMER-ORDEN.pdf
T4-APLICACIONES-DE-INTEGRAL.pdf
T5-CURVAS.pdf

examenes

-

EXAMENES RESUELTOS

He publicado nuevos examenes de 1º Matemáticas: EXAMENES RESUELTOS

1o-PARCIAL-2018-RESUELTO.pdf
1o-PARCIAL-2019-RESUELTO.pdf
RECOPILACION-EXAMENES.pdf

He publicado nuevos examenes de 1º Matemáticas: EXAMEN-RESUELTO-MATES-PRIMER-CUATRIMESTRE.pdf

6 páginas

He publicado nuevos examenes de 1º Matemáticas: EXAMEN-MATES-PRIMER-CUATRIMESTRE.pdf

4 páginas

He publicado nuevos apuntes de 1º Matemáticas: examen-matematicas-junio-2019.jpg

Imagen

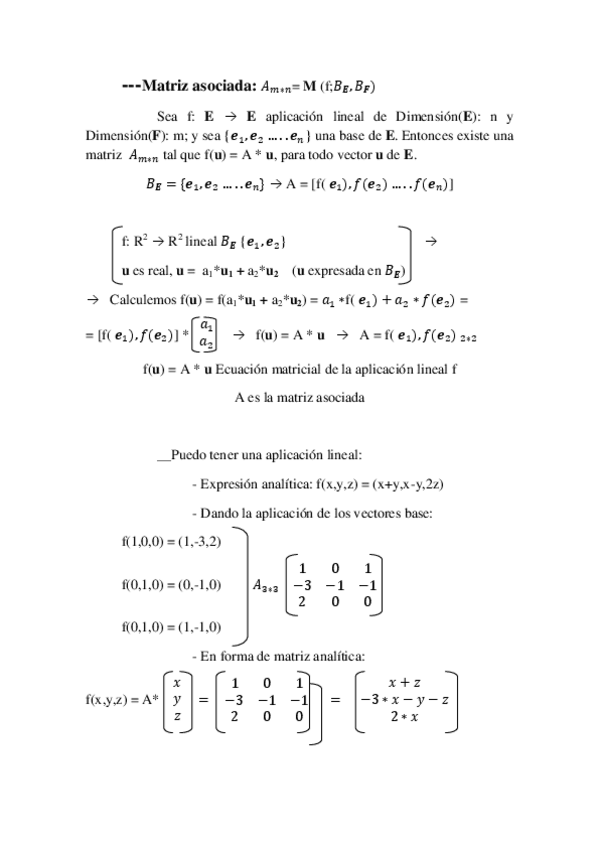
He publicado nuevos apuntes de 1º Matemáticas: TEMA 2 Aplicaciones lineales.pdf

7 páginas

He publicado nuevos apuntes de 1º Matemáticas: Tema 1 Espacios Vectoriales .pdf

8 páginas
¡Estás al día!

¡Estás al día!

Has visto todos los archivos