chevron_left
chevron_right
Todo
Apuntes
Ejercicios
Exámenes
chevron_left
chevron_right
Anónimo

@Anónimo

apuntes

-

pl

He publicado nuevos apuntes de 1º Matemáticas: pl

mates-1.pdf
mates-1-1.pdf
mates-1-2.pdf
Anónimo

@Anónimo

apuntes

-

formularios varios derivadas

He publicado nuevos apuntes de 1º Matemáticas: formularios varios derivadas

formulario-13.pdf
formulario-12.pdf
formulario-11.pdf
formulario-15.pdf
formulario-14.pdf
Anónimo

@Anónimo

He publicado nuevos apuntes de 1º Matemáticas: ejercicios-derivadas.pdf

2 páginas

apuntes

-

tablas integrales y derivadas

He publicado nuevos apuntes de 1º Matemáticas: tablas integrales y derivadas

Tabla-integrales.pdf
Tabla-derivadas.pdf

apuntes

-

DERIVADAS E INTEGRALES

He publicado nuevos apuntes de 1º Matemáticas: DERIVADAS E INTEGRALES

2.pdf
plantilla-derivadas.pdf
probintegralesindefinidas.pdf
1.pdf
4-100derivadasresueltas.pdf

examenes

-

exámenes resueltos paso a paso

He publicado nuevos examenes de 1º Matemáticas: exámenes resueltos paso a paso

EXAMEN JULIO 2017 BLANCO.pdf
EXAMEN MATEMATICAS FEBRERO 2017.pdf
wuolah-free-FEBRERO 2016 ROSA.pdf
wuolah-free-FEBRERO 2016 BLANCO.pdf
wuolah-free-EXAMEN FINAL JUNIO-2015 (BLANCO).pdf
wuolah-free-EXAMEN FINAL JUNIO-2015 (AMARILLO).pdf

apuntes

-

EXAMENES MATES

He publicado nuevos apuntes de 1º Matemáticas: EXAMENES MATES

NuevoDocumento 2017-07-04 (3).pdf
NuevoDocumento 2017-07-04 (4).pdf
NuevoDocumento 2017-07-04 (5).pdf

examenes

-

Examenes Resueltos 2013

He publicado nuevos examenes de 1º Matemáticas: Examenes Resueltos 2013

Solucion Amarilla Febrero 2013.pdf
Solucion Blanca Febrero 2013.pdf

examenes

-

Examenes Resueltos 2012

He publicado nuevos examenes de 1º Matemáticas: Examenes Resueltos 2012

examen_febrero_2012_azul.pdf
examen_febrero_2012_blanco.pdf
septiembre 2012.pdf

examenes

-

Examenes Resueltos 2014

He publicado nuevos examenes de 1º Matemáticas: Examenes Resueltos 2014

solucion modelo azul.pdf
solucion modelo blanco.pdf
EXAMEN BLANCO.pdf
EXAMEN VERDE.pdf

examenes

-

Examenes Resueltos 2015

He publicado nuevos examenes de 1º Matemáticas: Examenes Resueltos 2015

modelo amarillo.pdf
modelo blanco.pdf

He publicado nuevos ejercicios de 1º Matemáticas: ejercicio integrales SOLUCION.pdf

2 páginas

examenes

-

Examenes

He publicado nuevos examenes de 1º Matemáticas: Examenes

EXAMEN FINAL FEBRERO-2011 (DIAPOSITIVA).pdf
EXAMEN FINAL FEBRERO-2011.pdf
EXAMEN FINAL SEPTIEMBRE-2011 (BLANCO).pdf
EXAMEN FINAL ENERO-2012 (AZUL).pdf
EXAMEN FINAL ENERO-2012 (BLANCO).pdf
EXAMEN FINAL SEPTIEMBRE-2012 (BLANCO).pdf

ejercicios

-

Problemas

He publicado nuevos ejercicios de 1º Matemáticas: Problemas

problemastema2-INTEGRACION.pdf
problemastema3-FUNCIONES_DOS_VARIABLES.pdf
problemastema4-DIAGONALIZACION_Y_FORMAS_CUADRATICAS.pdf
problemastema5-OPTIMIZACION.pdf
problemastema6-SERIES_NUMERICAS.pdf

apuntes

-

Temario Diapositiva

He publicado nuevos apuntes de 1º Matemáticas: Temario Diapositiva

TEMA1-1aPARTE.pdf
TEMA1-2aPARTE.pdf
TEMA1-3aPARTE.pdf
TEMA1-4aPARTE.pdf
TEMA1-5aPARTE.pdf
TEMA1-6aPARTE.pdf

apuntes

-

Temario Diapositivas

He publicado nuevos apuntes de 1º Matemáticas: Temario Diapositivas

TEMA1-1aPARTE.pdf
TEMA1-2aPARTE.pdf
TEMA1-3aPARTE.pdf
TEMA1-4aPARTE.pdf
TEMA1-5aPARTE.pdf
TEMA1-6aPARTE.pdf

apuntes

-

Temas

He publicado nuevos apuntes de 1º Matemáticas: Temas

TEMA_2-INTEGRACION.pdf
TEMA_3_ANEXO_.pdf
TEMA_3_-FUNCIONES_DOS_VARIABLES.pdf
TEMA_4-_DIAGONALIZACION_Y_FORMAS_CUADRATICAS.pdf
TEMA_6_SERIES_NUMERICAS.pdf
TEMA5-OPTIMIZACION_nuevo_.pdf

apuntes

-

Temario Diapositivas

He publicado nuevos apuntes de 1º Matemáticas: Temario Diapositivas

TEMA 1 completo.pdf
TEMA 2.pdf
TEMA 3.pdf
TEMA 4- DIAGONALIZACION Y FORMAS CUADRATICAS.pdf
TEMA 5-OPTIMIZACION.pdf
TEMA 6.pdf

apuntes

-

Repaso

He publicado nuevos apuntes de 1º Matemáticas: Repaso

ECUACIONES.pdf
TEMA ECUACIONES.pdf
SISTEMAS ECUACIONES.pdf
TEMA SISTEMAS ECUACIONES.pdf
EJERCICIOS FRACCIONES.pdf
TEMA FRACCIONES.pdf

ejercicios

-

Problemas Con Solucion

He publicado nuevos ejercicios de 1º Matemáticas: Problemas Con Solucion

problemas tema1.pdf
SOLUCION PROBLEMAS TEMA 1.pdf
problemas tema2.pdf
soluciones problemas 1 2 y 3.pdf
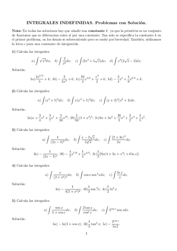
solucion-problemas integral indefinida.pdf
solucion-problemas integrales definidas.pdf
¡Estás al día!

¡Estás al día!

Has visto todos los archivos