chevron_left
chevron_right
Todo
Apuntes
Exámenes
chevron_left
chevron_right

He publicado nuevos apuntes de 1º Matemáticas: Tipos-de-funciones.pdf

13 páginas

He publicado nuevos apuntes de 1º Matemáticas: MATES-I.pdf

19 páginas
Anónimo

@Anónimo

examenes

-

Exámenes parciales

He publicado nuevos examenes de 1º Matemáticas: Exámenes parciales

Problemas-de-la-segunda-parte.pdf
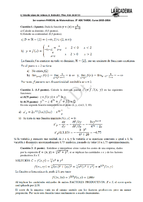
1er-examen-PARCIAL-de-Matematicas-ADE-2015-2016.pdf
PARCIAL-DE-INTEGRALES-con-soluciones.pdf
3er-examen-PARCIAL-de-Matematicas-ADE-2015-2016-con-solucion.pdf
Examen-con-ejercicios-de-distintos-aos.pdf
1er-examen-PARCIAL-de-Matematicas-ADE-2015-2016-con-solucion.pdf

He publicado nuevos examenes de 1º Matemáticas: examen-parcial-matematicas-ade.pdf

3 páginas
¡Estás al día!

¡Estás al día!

Has visto todos los archivos