Anónimo
Portada
Asignatura
Grado en Ingeniería de Sistemas de Telecomunicación (UPC)
Matemàtiques de la Telecomunicació
Fecha de subida
26 jun 2019
Categoría
ejercicios
Etiquetas
Apuntes - Matel. Exercicis TF.pdf
pdf
36 páginas
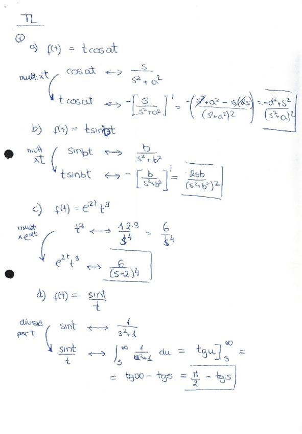
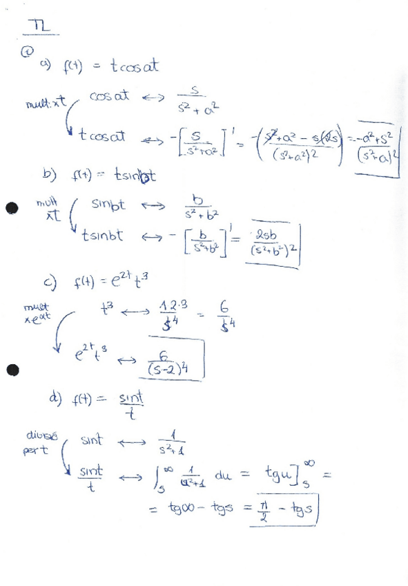
39
1
Apuntes - Resumen-Series-Numericas-y-Fourier.pdf
5 páginas
33
0
Ejercicios - Matel-T1.-Exercicis.pdf
25 páginas
45
Exámenes - Control-3-Serie-Compleja-y-Transformad.pdf
4 páginas
35
Prácticas - 20211122practica2classe.pdf
10 páginas
28
Apuntes - resum-series-numeriques-i-de-Fourier.pdf
22
Apuntes - Fourier.pdf
7 páginas
24
Apuntes - Resumen-Serie-Fourier-Compleja.pdf
3 páginas
25
Exámenes - Matel-1r-control.pdf
23
Apuntes - Tema2-SerieComplexa-TransformadaFourier.pdf
38 páginas
19
Apuntes - Resumen-Probabilidad.pdf
2 páginas
10
Apuntes - Resumen-Transformada-De-Laplace.pdf
17
Apuntes - Matel-T1.-Transformada-de-LaPlace.pdf
21 páginas
18
Apuntes - Tema2-TransformadaFourier.pdf
27 páginas
15
Exámenes - Solucio-Exa2QT2122.pdf
Exámenes - Exa2QT2122ambformulari-1.pdf
Ejercicios - Problemas-Probabilidad.pdf
9 páginas
6
Apuntes - TF. Col·leccio d'exercicis.pdf
11
Apuntes - Tema 3 - Problemes.pdf
8 páginas
9
Prácticas - Practica-analisi-de-Fourier.pdf
12