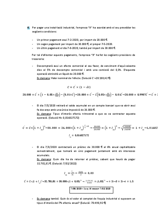
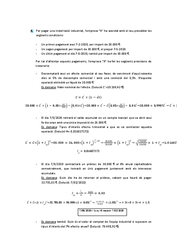
Barta5
Exercicis anys anteriors
Exercici-rendes.pdf
1 página
Exercicis-12345-Bloc-3.docx.pdf
4 páginas
Exercicis-67-i-8-del-bloc-3-Doc1.docx.pdf
7 páginas
Exercicis-proposats-Matematiques-Financeres.docx.pdf
3 páginas
Apuntes - mates-tema-3.pdf
pdf
0
Ejercicios - Exercici-rendes.pdf
Ejercicios - Exercicis-12345-Bloc-3.docx.pdf
Ejercicios - Exercicis-67-i-8-del-bloc-3-Doc1.docx.pdf
Ejercicios - Exercicis-proposats-Matematiques-Financeres.docx.pdf