EXERCICI-10-LIMITS.pdf

meee__

Exercicis matemàtiques tema 2

19 archivos·

2.pdf

2.pdf

2.pdf

2020-2021-ade-calcul-solucionari-derivades.pdf

2.pdf

2021-2022-ade-calcul-solucionari-recta-tangent.pdf

2020-2021-ade-calcul-solucionari-limits-funcions-exercicis.pdf

Derivadesperrepassar.pdf

2.pdf

derivades-per-repassar.pdf

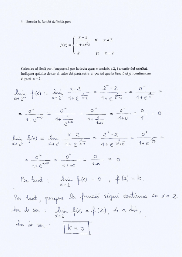
EXERCICI-05-CONTINUITAT-1.pdf

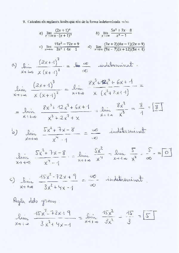
EXERCICI-09-LIMITS.pdf

EXERCICI-06-CONTINUITAT-1.pdf

EXERCICI-03-CONTINUITAT-1.pdf

EXERCICI-10-LIMITS.pdf

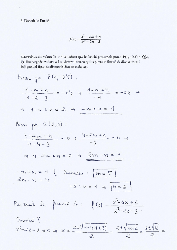
EXERCICI-04-CONTINUITAT-1.pdf

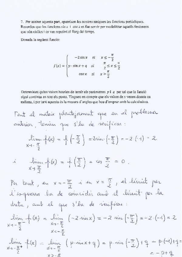
EXERCICI-07-CONTINUITAT-1.pdf

EXERCICI-07-LIMITS.pdf

EXERCICI-08-LIMITS.pdf

content_copy

Archivos recomendados