Anónimo
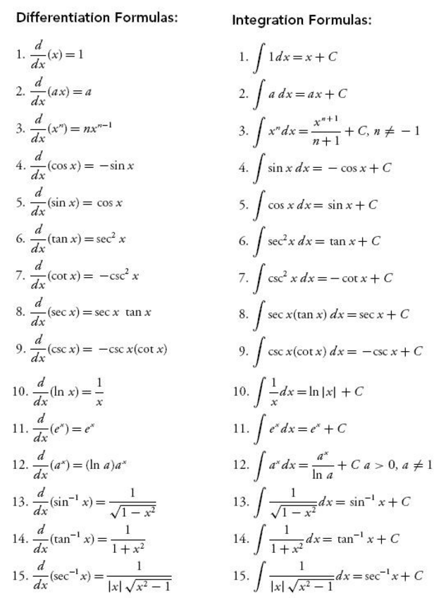
tauladerivadesintegrals.pdf
1 página
Exámenes - Formulari-primer-parcial.pdf
pdf
39
1
Apuntes - Formulari-mates-parcial-2.pdf
2 páginas
32
3
Apuntes - Formulari-mates-II.pdf
3 páginas
30
0
Exámenes - Prova-parcial-primavera-2014-2015revisat.pdf
5 páginas
26
Apuntes - Formulari-mates-II-part-2.pdf
17
Exámenes - PARCIALMA22122Resolt.pdf
8 páginas
16
Exámenes - FINALFM220-21resolt.pdf
5
Exámenes - finalfm22021-22resolt.pdf
7 páginas
9
Exámenes - parcialFM220-21resolt-1.pdf
11
Exámenes - parcialfm218-19resolt.pdf
13 páginas
7
Apuntes - Apunts-sobre-integrals-racionals.pdf
Apuntes - INTEGRALES.pdf
4 páginas
Test - Questionari-PRACTICA-1.pdf
4
Exámenes - FinalFM218-19resolt.pdf
Apuntes - tauladerivadesintegrals.pdf
Apuntes - integracioresolts.pdf
23 páginas
Test - Q1-Nombres-Complexos.pdf