Portada
Asignatura
Física (UNAM)
Mecánica Analítica
Fecha de subida
19 jul 2023
Categoría
apuntes
Etiquetas
Apuntes - 1.-Ecuaciones-de-Lagrange.-Ejemplos-y-teoria.pdf
pdf
10 páginas
3
0
Exámenes - Examen-diagnostico.pdf
5 páginas
2
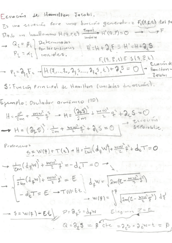
Apuntes - Ecuacion-de-Hamilton-Jacobi.pdf
3 páginas
1
Apuntes - Teorema-de-Louville-y-variables-angulo-accion.pdf
9 páginas
Apuntes - TC.-Funcion-generatriz.pdf
7 páginas
Apuntes - Problema-Cadena-de-N-masas.pdf
Apuntes - Teoria.-Cuerpo-rigido.pdf
Apuntes - Teorema-de-Steiner-y-momento-angular.pdf
Apuntes - Ecuaciones-y-angulos-de-Euler.pdf
11 páginas
Apuntes - Ecuaciones-de-Hamilton.pdf
Apuntes - Transformaciones-canonicas.pdf
6 páginas
Apuntes - 7.-Oscilaciones-osciladores-acoplados-acoplamiento-debil.-Teoria-y-ejemplos..pdf
8 páginas
Apuntes - 8.-Pequenas-oscilaciones.-Teoria-general..pdf
Apuntes - 2.-Principio-de-Hamilton.-Calculo-variacional.-Teoria-y-ejemplo..pdf
Apuntes - 3.-Teoremas-de-conservacion-y-teorema-de-Noether.pdf
Apuntes - 4.-Multiplicadores-de-Lagrange-y-propiedades-del-Lagrangiano.pdf
Apuntes - 5.-Movimiento-de-dos-cuerpos-y-una-fuerza-central..pdf
Apuntes - 6.-Seccion-eficaz-Cross-Section.pdf