anonymous2
Exámenes Lagrange resueltos a mano
Parcial-2018-2019-Lagrange.pdf
5 páginas
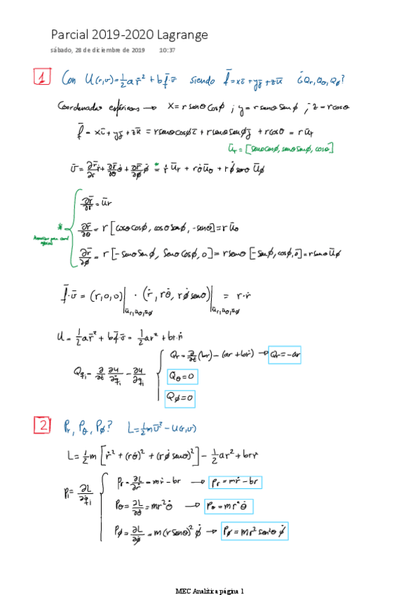
Parcial-2019-2020-Lagrange-resuelto.pdf
Parcial-2013-Lagrange.pdf
Exámenes - Lagrangiana 2017.pdf
pdf
2 páginas
353
0
Exámenes - Hamiltoniana 2017.pdf
237
Exámenes - 2017-18 Lagrange (1).jpeg
jpeg
44
Exámenes - Lagrangiana parcial1.jpg
jpg
34
Exámenes - Exámenes Hamilton.pdf
20 páginas
208
Apuntes - Lagrangiana-diapositivas.pdf
87 páginas
194
Exámenes - Examen_Lagrangiana_18-19.pdf
9 páginas
304
Exámenes - Examenes Hamilton.pdf
19 páginas
297
Exámenes - 2017-18 Lagrange (2).jpeg
38
Exámenes - Lagrangiana parcial2.jpg
25
Exámenes - Hamiltoniana extraordinario.pdf
168
Exámenes - Lagrangiana extraordinario.pdf
196
Exámenes - Hamiltoniana1.jpg
12
Exámenes - Lagrange 2016-2013-2017 resueltos.pdf
8 páginas
255
Exámenes - Parcial-2019-2020-Lagrange-resuelto.pdf
282
Exámenes - Lagrangiana final.jpg
11
Apuntes - Resumen de la Teoría.pdf
152
1
Exámenes - solucion-test-octubre-2019.pdf
268
Apuntes - H0.pdf
34 páginas
137
Exámenes - Mecánica Analítica Enero 19.pdf
7 páginas