Tema-6b1-Basico-I.pdf.pdf

Anónimo

Colección Ejercicios Resueltos

59 archivos·

Tema-1-1-Problema-1-a.pdf

15 páginas

Tema-1Ejercicio-Propiedades.pdf

1 página

Tema-1Ejercicio-Propiedadessol.pdf

2 páginas

Tema-1Ejercicio-Viscosidadsol.pdf

2 páginas

04Compuert-plana-irregular.pdf

3 páginas

Estatica-1.pdf

6 páginas

P2.1.2-Comp-inclinada-plana-Soluc1.pdf

5 páginas

P2.1.11-Dep-comp-curva-Soluc.pdf

4 páginas

P2.3.1-Manometro-Soluc.pdf

2 páginas

Problema-compuerta-cilindrica-Sept-1994.pdf

18 páginas

Tema-2a-Reloj-Cuestion-2008.pdf

15 páginas

Tema-2b-Prensa-Ejercicio-propuesto.pdf

5 páginas

Tema-2c-Presa-Problema-1995.pdf

16 páginas

Tema-2eEjercicio-Cajon-petroleosol.pdf

3 páginas

Tema-2fEjercicio-globos.pdf

2 páginas

Examen-abril-20123.pdf

6 páginas

P5.3-Deposito-C-Soluc.pdf

3 páginas

P5.4-Calderin-y-compresor-Soluc.pdf

4 páginas

P5.5-Problemas-adicionales-conservacion-de-la-masa.pdf

9 páginas

P5.6-Problema-calderin-agua-aire.pdf

2 páginas

P5.7-Problema-deposito-red-de-abastecimiento.pdf

5 páginas

1-Tuberia-agua-caliente-B-Soluc.pdf

2 páginas

2-Termoacumulador-Soluc.pdf

4 páginas

3-Examen-marzo-2012.pdf

2 páginas

201305-MF-GIEb.pdf

8 páginas

Septiembre-P1.pdf

8 páginas

Tema-5.2h-ACS.pdf

3 páginas

Tema-5.2j-Termoacumulador-y-grifo.pdf

5 páginas

Tema-5.2d-Sifon.pdf

2 páginas

Tema-5.2g-Bernoulli.pdf

5 páginas

Tema-5.2i-Venturi-Bernoulli.pdf

2 páginas

Aspersor-empotrado.pdf

7 páginas

P5.3.1-Alabe-doble-Soluc.pdf

3 páginas

P5.3.5-Cohete-Soluc.pdf

3 páginas

P5.3.6.-Alabe-varias-soluciones.pdf

5 páginas

P5.4.1-Aspersor-A-parado-Soluc.pdf

3 páginas

P5.4.3-Alabe-articulado-Soluc.pdf

4 páginas

P5.4.5-Aspersor-B-movto-Soluc.pdf

4 páginas

P5.14-Codo.pdf

3 páginas

Solucion-2011-P2.pdf

4 páginas

Tema-5-Todos.pdf

97 páginas

Tema-5-1-Cuestion-3-b.pdf

14 páginas

Tema-5.3a.pdf

6 páginas

EJEMPLOS-Lamina-LIbre-copia.pdf

15 páginas

Tema-6b2-Basico-II.pdf.pdf

2 páginas

Tema-6b3-Basico-III.pdf.pdf

5 páginas

Tema-6b4-Cavitacion-en-tuberia.pdf

1 página

Tema-6c1-Altura-de-bombeo.pdf.pdf

2 páginas

Tema-6c3-E20152P.pdf.pdf

7 páginas

Tema-6d1-Cierre-parcial.pdf.pdf

2 páginas

Tema-6d2-Tiempo-de-cierre.pdf.pdf

2 páginas

Tema-6e-Problema-F1-2002.pdf.pdf

14 páginas

6.1-Flujo-a-presionEjercicios2017.pdf

4 páginas

20142Parcial.pdf

7 páginas

20152P-Ord.pdf

5 páginas

Tema-6a1-Perdidas-de-carga-1.pdf.pdf

3 páginas

Tema-6a2-Perdidas-de-carga-2.pdf.pdf

3 páginas

Tema-6a3-Cierre-valvula.pdf.pdf

4 páginas

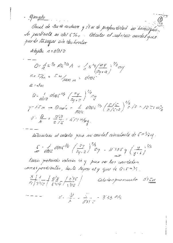
Tema-6b1-Basico-I.pdf.pdf

2 páginas

content_copy

Archivos recomendados