PEI-23-24-RESUELTO-PASO-A-PASO.pdf

userraeroo

EXÁMENES PARTE 1 RESUELTOS IPAD

10 archivos·

PEI-1-24-25-RESUELTO-PASO-A-PASO.pdf.pdf

19 páginas

PEI-23-24-RESUELTO-PASO-A-PASO.pdf

7 páginas

ORDINARIO-23-24-RESUELTO-PASO-A-PASO.pdf

14 páginas

EXTRA-24-25-RESUELTO-PASO-A-PASO.pdf

6 páginas

PEI-22-23-RESUELTO-PASO-A-PASO.pdf

15 páginas

ORDINARIO-22-23-RESUELTO-PASO-A-PASO.pdf

5 páginas

PEI-21-22-RESUELTO-PASO-A-PASO.pdf

8 páginas

ORDINARIO-21-22-RESUELTO-PASO-A-PASO.pdf

8 páginas

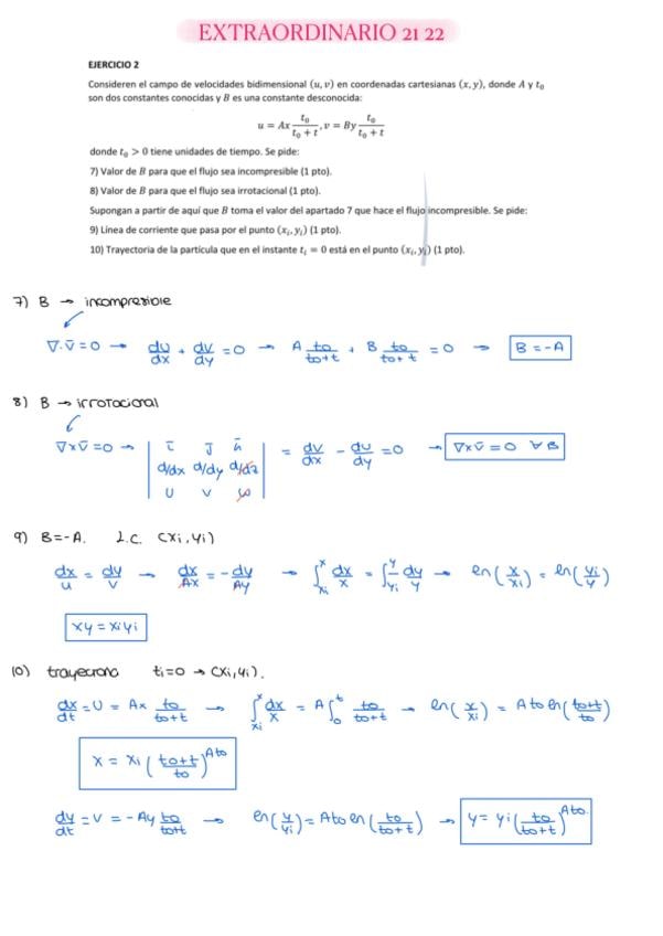
EXTRAORDINARIO-21-22.pdf

10 páginas

ORDINARIO-24-25-RESUELTO-PASO-A-PASO.pdf.pdf

9 páginas

content_copy

Archivos recomendados