Portada
Asignatura
Grado en Ingeniería en Electrónica y Automática Industrial (UVIGO)
Mecánica de Fluidos
Fecha de subida
23 jun 2024
Categoría
examenes
Información
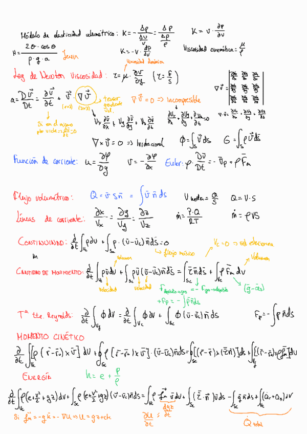
formulario completo de mecánica de fluidos
Etiquetas
Ejercicios - Boletin-3.pdf
pdf
6 páginas
122
1
Ejercicios - Boletin-4.pdf
5 páginas
93
0
Ejercicios - Boletin-9.pdf
7 páginas
103
Otros - Formulario.pdf
4 páginas
89
Exámenes - mayo-22-mf.pdf
Ejercicios - Boletin-8.pdf
8 páginas
90
Ejercicios - Boletin-2.pdf
9 páginas
69
Exámenes - Junio-2020-mf-.pdf
3 páginas
76
Exámenes - Mayo-21-MF.pdf
68
Ejercicios - Boletin-6.pdf
Exámenes - Examenes-finales-fluidos-3.pdf
20 páginas
41
Ejercicios - Boletin-7.pdf
Apuntes - boletines-resueltos.pdf
96 páginas
59
Exámenes - Examenes Parciales.pdf
13 páginas
61
2
Ejercicios - Boletin-7-Resuelto.pdf
53
Otros - formulario-nuevo-examen-final-2023.pdf
43
Exámenes - recop-ejers-MF.pdf
50
Exámenes - Julio-2020-MF.pdf
51
Exámenes - FORMULARIO-EXAMEN-FINAL.pdf
29
Exámenes - formulario-Mecanica-de-Fluidos.pdf
31
Información
formulario completo de mecánica de fluidos