Portada
Asignatura
Grado en Ingeniería Mecánica (UPV)
Mecánica de Fluidos (Iti. 1,3,4)
Fecha de subida
04 jul 2024
Categoría
apuntes
Etiquetas
Apuntes - Apuntes-y-problemas-resueltos-I.pdf
pdf
15 páginas
23
0
Apuntes - II-cuatri-1r-parcial-FLUIDOS-2.pdf
24 páginas
20
Apuntes - II-cuatri-2o-parcial-FLUIDOS-2.pdf
22 páginas
10
Ejercicios - Ejercicios-Repaso.pdf
27 páginas
8
Apuntes - II-cuatri-1r-parcial-FLUIDOS-1.pdf
16
Apuntes - Formulario-parcial-2.pdf
2 páginas
11
Ejercicios - EJERCICIO-AUTOVALORADO-2-2021-CORREGIDO.pdf
7 páginas
Apuntes - Fluidos-Examen-1.pdf
4 páginas
13
Ejercicios - EJERCICIO-AUTOVALORADO-1-2021-CORREGIDO.pdf
10 páginas
14
Apuntes - Apuntes-y-problemas-resueltos-II.pdf
12
Apuntes - Repaso-1er-Parcial.pdf
12 páginas
Apuntes - Esquema-T1-y-T2-Mecanica-de-Fluidos.pdf
Apuntes - Fluidos-Problemas-1-a-3.pdf
50 páginas
Apuntes - II-cuatri-3r-parcial-FLUIDOS-1.pdf
1
Ejercicios - 3er-Parcial.pdf
Apuntes - II-cuatri-2o-parcial-FLUIDOS-1.pdf
9
Apuntes - II-cuatri-3r-parcial-FLUIDOS-2.pdf
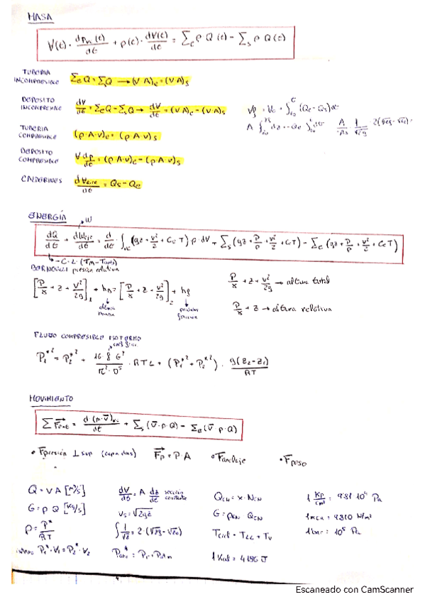
Apuntes - Formulario-Acto-4.pdf
1 página
7
Apuntes - Fluidos-Examen-2011-2012-E.pdf
6
Apuntes - Formulario-acto-1.pdf