chevron_left
chevron_right
Todo
Apuntes
Ejercicios
Exámenes
Prácticas
Test
chevron_left
chevron_right

He publicado nuevos ejercicios de 2º Mecánica de Máquinas: Mecanica-de-maquinas-Ejercicios-Tema3.pdf

37 páginas

He publicado nuevos apuntes de 2º Mecánica de Máquinas: Algo-de-Mecanica-de-Maquinas.pdf

3 páginas

ejercicios

-

Ejercicios de todo máquinas

Ejercicios de clase y de exámenes

Ejercicio-Mecanismos-Planos.pdf
Ejercicio-Mecanismos-Planos.pdf
Ejercicios-Solido-rigido.pdf
Ejercicios-Solido-rigido.pdf

apuntes

-

Teoría Mecanismos Planos

He publicado nuevos apuntes de 2º Mecánica de Máquinas: Teoría Mecanismos Planos

Teoria-Dinamica-y-Energia-mecanismos-planos.pdf
Teoria-Dinamica-y-Energia-mecanismos-planos.pdf
Teoria-Cinematica-mecanismos-planos.pdf
Teoria-Cinematica-mecanismos-planos.pdf

apuntes

-

Teoría Sólido Rígido

He publicado nuevos apuntes de 2º Mecánica de Máquinas: Teoría Sólido Rígido

Teoria-Dinamica-Solido-Rigido.pdf
Teoria-Dinamica-Solido-Rigido.pdf
Teoria-Cinematica-Solido-Rigido.pdf
Teoria-Cinematica-Solido-Rigido.pdf

Resumen contenidos del parcial 2.

7 páginas

Resumen contenidos parcial 1.

7 páginas

He publicado nuevos apuntes de 2º Mecánica de Máquinas: APUNTES-TODO-MECANICA-DE-MAQUINAS.pdf

8 páginas

He publicado nuevos ejercicios de 2º Mecánica de Máquinas: Ejercicios-resueltos-temas-4-5-6-7-segundo-parcial.pdf

17 páginas

apuntes

-

Apuntes

Apuntes completos Máquinas

Apuntes-T.1-3Maquinas.pdf
Apuntes-T.1-3Maquinas.pdf
Apuntes-T.4-6Maquinas.pdf
Apuntes-T.4-6Maquinas.pdf

ejercicios

-

Ejercicios

Ejercicios de clase solucionados

Ejercicios-maquinas-T.1-3-parte1.pdf
Ejercicios-maquinas-T.1-3-parte1.pdf
Ejercicios-maquinas-T.4-6-parte2.pdf
Ejercicios-maquinas-T.4-6-parte2.pdf

examenes

-

Recopilatorio de exámenes

He publicado nuevos examenes de 2º Mecánica de Máquinas: Recopilatorio de exámenes

1stMidterm22-23enunciado.pdf
1stMidterm22-23enunciado.pdf
1stMidterm24-25solucionado.pdf
1stMidterm24-25solucionado.pdf
2ndMidterm18-19enunciado.pdf
2ndMidterm18-19enunciado.pdf

practicas

-

Prácticas Máquinas

Reports de los laboratorios en inglés

LAB-3Working-ModelPart-1EXERCISE.pdf
LAB-3Working-ModelPart-1EXERCISE.pdf
Lab-2balancing-shafts.pdf
Lab-2balancing-shafts.pdf
Lab-1The-gyroscopic-effect-lab.pdf
Lab-1The-gyroscopic-effect-lab.pdf

He publicado nuevos apuntes de 2º Mecánica de Máquinas: Mecanica-de-maquinas-Ejercicios-Tema2.pdf

8 páginas

He publicado nuevos apuntes de 2º Mecánica de Máquinas: EXAMENES-1o-parcial.pdf

17 páginas

He publicado nuevos apuntes de 2º Mecánica de Máquinas: FORMULARIO-MECANISMOS-PLANOS.pdf

4 páginas

He publicado nuevos examenes de 2º Mecánica de Máquinas: PARCIAL-1-2023.pdf

3 páginas

He publicado nuevos examenes de 2º Mecánica de Máquinas: EXAMENES-PARCIAL-1.pdf

7 páginas

examenes

-

EXÁMENES MECÁNICA DE MÁQUINAS RESUELTOS - PARCIAL 2

He publicado nuevos examenes de 2º Mecánica de Máquinas: EXÁMENES MECÁNICA DE MÁQUINAS RESUELTOS - PARCIAL 2

Ejercicios-Parcial-2-Pt1.pdf
Ejercicios-Parcial-2-Pt1.pdf
Ejercicios-Parcial-2-Pt2.pdf
Ejercicios-Parcial-2-Pt2.pdf
Ejercicios-Parcial-2-Pt3.pdf
Ejercicios-Parcial-2-Pt3.pdf

examenes

-

EXÁMENES MECÁNICA DE MÁQUINAS RESUELTOS - PARCIAL 1

He publicado nuevos examenes de 2º Mecánica de Máquinas: EXÁMENES MECÁNICA DE MÁQUINAS RESUELTOS - PARCIAL 1

Ejercicios-Parcial-1-Pt1.pdf
Ejercicios-Parcial-1-Pt1.pdf
Ejercicios-Parcial-1-Pt2.pdf
Ejercicios-Parcial-1-Pt2.pdf
Ejercicios-Parcial-1-Pt3.pdf
Ejercicios-Parcial-1-Pt3.pdf

apuntes

-

APUNTES MECÁNICA DE MÁQUINAS COMPLETOS

He publicado nuevos apuntes de 2º Mecánica de Máquinas: APUNTES MECÁNICA DE MÁQUINAS COMPLETOS

Apuntes-Mecanica-de-Maquinas-Mecanismos-Planos-1.pdf
Apuntes-Mecanica-de-Maquinas-Mecanismos-Planos-1.pdf
Apuntes-Mecanica-de-Maquinas-Solido-Rigido.pdf
Apuntes-Mecanica-de-Maquinas-Solido-Rigido.pdf
Apuntes-Mecanica-de-Maquinas-Mecanismos-Planos-2.pdf
Apuntes-Mecanica-de-Maquinas-Mecanismos-Planos-2.pdf

apuntes

-

mecanismos resueltos

He publicado nuevos apuntes de 2º Mecánica de Máquinas: mecanismos resueltos

DinamicaMecanismossoluion.pdf
DinamicaMecanismossoluion.pdf
CinematicaMecanismossoluion.pdf
CinematicaMecanismossoluion.pdf
EnergiaMecanismossoluion.pdf
EnergiaMecanismossoluion.pdf

apuntes

-

Formulas

He publicado nuevos apuntes de 2º Mecánica de Máquinas: Formulas

Momentos-de-inercia.pdf
Momentos-de-inercia.pdf
Tema-2.pdf
Tema-2.pdf
Tema-3.pdf
Tema-3.pdf

ejercicios

-

tema 7 trabajo y energía de mecanismos

He publicado nuevos ejercicios de 2º Mecánica de Máquinas: tema 7 trabajo y energía de mecanismos

Ejercicios.pdf
Ejercicios.pdf
Mis-ejercicios.pdf
Mis-ejercicios.pdf

ejercicios

-

tema 6.- dinámica de mecanismo planos

He publicado nuevos ejercicios de 2º Mecánica de Máquinas: tema 6.- dinámica de mecanismo planos

Dinamica-mecanismos-planos.pdf
Dinamica-mecanismos-planos.pdf
Ejercicios.pdf
Ejercicios.pdf

apuntes

-

tema 5.- cinemática de mecanismos planos

He publicado nuevos apuntes de 2º Mecánica de Máquinas: tema 5.- cinemática de mecanismos planos

Analisis-de-aceleraciones.pdf
Analisis-de-aceleraciones.pdf
Analisis-de-velocidades.pdf
Analisis-de-velocidades.pdf

ejercicios

-

tema 4.- mecanismos planos

He publicado nuevos ejercicios de 2º Mecánica de Máquinas: tema 4.- mecanismos planos

Diseno-mecanico.pdf
Diseno-mecanico.pdf
Ejercicios.pdf
Ejercicios.pdf
Mis-ejercicios.pdf
Mis-ejercicios.pdf

ejercicios

-

Tema 3.- Dinámica solido rígido

He publicado nuevos ejercicios de 2º Mecánica de Máquinas: Tema 3.- Dinámica solido rígido

Dinamica-solido-rigido.pdf
Dinamica-solido-rigido.pdf
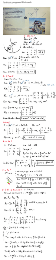
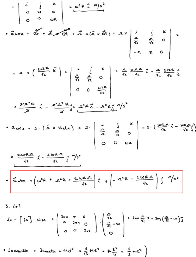
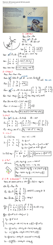
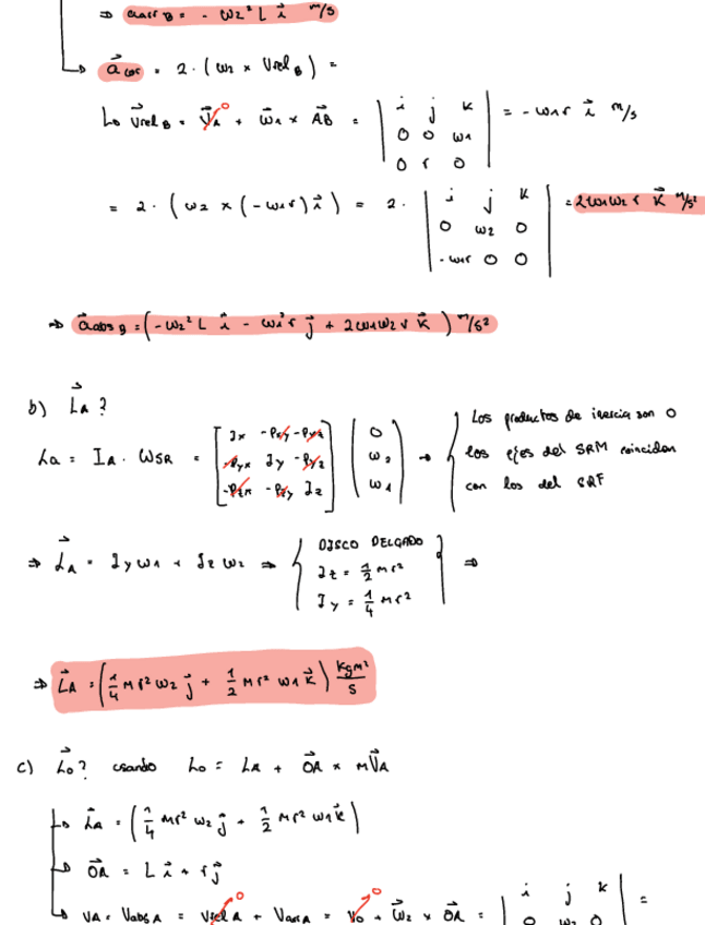
Ejercicio-del-examen-parcial-del-ano-pasado.pdf
Ejercicio-del-examen-parcial-del-ano-pasado.pdf
Ejercicios.pdf
Ejercicios.pdf

ejercicios

-

Tema 2.- Cinemática del solido rígido

He publicado nuevos ejercicios de 2º Mecánica de Máquinas: Tema 2.- Cinemática del solido rígido

Cinematica-solido-rigido.pdf
Cinematica-solido-rigido.pdf
Ejercicios.pdf
Ejercicios.pdf
Mis-ejercicios.pdf
Mis-ejercicios.pdf

ejercicios

-

Tema 1.- Introducción a la mecánica

He publicado nuevos ejercicios de 2º Mecánica de Máquinas: Tema 1.- Introducción a la mecánica

Ejercicios-estatica-y-analisis-dimensional.pdf
Ejercicios-estatica-y-analisis-dimensional.pdf
Introduccion-a-la-mecanica.pdf
Introduccion-a-la-mecanica.pdf

test

-

Wooclaps

He publicado nuevos test de 2º Mecánica de Máquinas: Wooclaps

woopclap-Ejercicio-final.pdf
woopclap-Ejercicio-final.pdf
woopclap-Tema-4.pdf
woopclap-Tema-4.pdf
woopclap-Tema-5.pdf
woopclap-Tema-5.pdf

He publicado nuevos ejercicios de 2º Mecánica de Máquinas: Ejercicios-planar-mechanisms-solucion.pdf

31 páginas

He publicado nuevos ejercicios de 2º Mecánica de Máquinas: SOLUCIONESCINEMATICA3.pdf

10 páginas

He publicado nuevos ejercicios de 2º Mecánica de Máquinas: SOLUCIONESCINEMATICA2.pdf

23 páginas

He publicado nuevos ejercicios de 2º Mecánica de Máquinas: SOLUCIONESCINEMATICA1.pdf

24 páginas

He publicado nuevos ejercicios de 2º Mecánica de Máquinas: SOLUCIONESPARTE1.pdf

17 páginas

He publicado nuevos examenes de 2º Mecánica de Máquinas: SOLUCIONPROBLEMATIPOEXAMEN.pdf

10 páginas

He publicado nuevos apuntes de 2º Mecánica de Máquinas: APUNTESTODOELCURSO.pdf

7 páginas

He publicado nuevos practicas de 2º Mecánica de Máquinas: Practica-2Equilibrado-de-ejes-2023.pdf

16 páginas

He publicado nuevos practicas de 2º Mecánica de Máquinas: Practica-1Giroscopio-2023.pdf

17 páginas

He publicado nuevos practicas de 2º Mecánica de Máquinas: Practica-GIROSCOPO.pdf

11 páginas

He publicado nuevos practicas de 2º Mecánica de Máquinas: Practica-EQUILIBRADO-DE-EJES.pdf

8 páginas

He publicado nuevos practicas de 2º Mecánica de Máquinas: Practica-3-Working-Model.pdf

3 páginas

He publicado nuevos practicas de 2º Mecánica de Máquinas: Practica-4-Woriking-Model.pdf

3 páginas

apuntes

-

Máquinas Dinámica (teoria y ejercicios) ACADEMIA

He publicado nuevos apuntes de 2º Mecánica de Máquinas: Máquinas Dinámica (teoria y ejercicios) ACADEMIA

Teoria-dinamica.pdf
Teoria-dinamica.pdf
Dinamica-ejercicios.pdf
Dinamica-ejercicios.pdf

apuntes

-

Máquinas Cinemática (teoria y ejercicios) ACADEMIA

He publicado nuevos apuntes de 2º Mecánica de Máquinas: Máquinas Cinemática (teoria y ejercicios) ACADEMIA

Teoria-cinematica.pdf
Teoria-cinematica.pdf
Cinematica-ejercicios.pdf
Cinematica-ejercicios.pdf

He publicado nuevos examenes de 2º Mecánica de Máquinas: Problema-de-examen-resuelto.pdf

2 páginas

apuntes

-

7 temas Mecánica de Máquinas

He publicado nuevos apuntes de 2º Mecánica de Máquinas: 7 temas Mecánica de Máquinas

Tema-3-MM.pdf
Tema-3-MM.pdf
Tema-4-MM.pdf
Tema-4-MM.pdf
Tema-5-MM.pdf
Tema-5-MM.pdf

He publicado nuevos apuntes de 2º Mecánica de Máquinas: Planar-mechanismtheory.pdf

7 páginas

He publicado nuevos apuntes de 2º Mecánica de Máquinas: Plantillascinemas.pdf

20 páginas

examenes

-

Sólido Rígido

He publicado nuevos examenes de 2º Mecánica de Máquinas: Sólido Rígido

Equilibrado-de-ejes.pdf
Equilibrado-de-ejes.pdf
EjerciciosExamenSolidoRigido.pdf
EjerciciosExamenSolidoRigido.pdf
EjerciciosDeExamenSSolidoRigido.pdf
EjerciciosDeExamenSSolidoRigido.pdf

examenes

-

Mecanismos

Ejercicios de examen

Ejercicios-analisis-dinamico.pdf
Ejercicios-analisis-dinamico.pdf
Ejercicios-cinematica.pdf
Ejercicios-cinematica.pdf
Ejercicios-examen-dinamica2.pdf
Ejercicios-examen-dinamica2.pdf

He publicado nuevos apuntes de 2º Mecánica de Máquinas: Rigid-SolidTheory.pdf

9 páginas

test

-

Test de examen

He publicado nuevos test de 2º Mecánica de Máquinas: Test de examen

Testmm.pdf
Testmm.pdf
TEST-MECANICA-DE-MAQUINAS.pdf
TEST-MECANICA-DE-MAQUINAS.pdf

No hice la parte de las reacciones, pero se resuelve igualando el sumatorio de fuerzas (los pesos) con F=m*a

3 páginas

He publicado nuevos ejercicios de 2º Mecánica de Máquinas: Mecanismos-planos-test.pdf

9 páginas

ejercicios

-

1er parcial

He publicado nuevos ejercicios de 2º Mecánica de Máquinas: 1er parcial

Problemas-Tema-2.pdf
Problemas-Tema-2.pdf
Problemas-Tema-3.pdf
Problemas-Tema-3.pdf
Anónimo

@Anónimo

He publicado nuevos ejercicios de 2º Mecánica de Máquinas: Solucionario.pdf

114 páginas

He publicado nuevos apuntes de 2º Mecánica de Máquinas: Practica-4-Analisis-mecanismo-planos.pdf

5 páginas
Anónimo

@Anónimo

He publicado nuevos apuntes de 2º Mecánica de Máquinas: maquinas1.pdf

69 páginas