Todo
Apuntes
Ejercicios
Exámenes
Trabajos
chevron_left
chevron_right

He publicado nuevos apuntes de 3º Mecánica de Máquinas: formulario-parcial-1.pdf

1 página

He publicado nuevos apuntes de 3º Mecánica de Máquinas: teoria-parcial-1.pdf

12 páginas

He publicado nuevos apuntes de 3º Mecánica de Máquinas: Teoria-primer-parcial-maquinas.pdf

7 páginas

He publicado nuevos apuntes de 3º Mecánica de Máquinas: EJERCICIOS-MAQUINAS.pdf

39 páginas

examenes

-

EXÁMENES MECÁNICA DE MÁQUINAS RESUELTOS - PARCIAL 2

He publicado nuevos examenes de 3º Mecánica de Máquinas: EXÁMENES MECÁNICA DE MÁQUINAS RESUELTOS - PARCIAL 2

Ejercicios-Parcial-2-Pt2.pdf
Ejercicios-Parcial-2-Pt2.pdf
Ejercicios-Parcial-2-Pt3.pdf
Ejercicios-Parcial-2-Pt3.pdf
Ejercicios-Parcial-2-Pt4.pdf
Ejercicios-Parcial-2-Pt4.pdf

examenes

-

EXÁMENES MECÁNICA DE MÁQUINAS RESUELTOS - PARCIAL 1

He publicado nuevos examenes de 3º Mecánica de Máquinas: EXÁMENES MECÁNICA DE MÁQUINAS RESUELTOS - PARCIAL 1

Ejercicios-Parcial-1-Pt3.pdf
Ejercicios-Parcial-1-Pt3.pdf
Ejercicios-Parcial-1-Pt1.pdf
Ejercicios-Parcial-1-Pt1.pdf
Ejercicios-Parcial-1-Pt2.pdf
Ejercicios-Parcial-1-Pt2.pdf

apuntes

-

APUNTES MECÁNICA DE MÁQUINAS COMPLETOS

He publicado nuevos apuntes de 3º Mecánica de Máquinas: APUNTES MECÁNICA DE MÁQUINAS COMPLETOS

Apuntes-Mecanica-de-Maquinas-Mecanismos-Planos-2.pdf
Apuntes-Mecanica-de-Maquinas-Mecanismos-Planos-2.pdf
Apuntes-Mecanica-de-Maquinas-Mecanismos-Planos-1.pdf
Apuntes-Mecanica-de-Maquinas-Mecanismos-Planos-1.pdf
Apuntes-Mecanica-de-Maquinas-Solido-Rigido.pdf
Apuntes-Mecanica-de-Maquinas-Solido-Rigido.pdf

ejercicios

-

Problemas con soluciones temario

He publicado nuevos ejercicios de 3º Mecánica de Máquinas: Problemas con soluciones temario

Cinematica-del-solido-rigido-y-mov.-relativo.pdf
Cinematica-del-solido-rigido-y-mov.-relativo.pdf
Cinematica-y-dinamica-de-mecanismos-planos-1oParte.pdf
Cinematica-y-dinamica-de-mecanismos-planos-1oParte.pdf
Cinematica-y-dinamica-de-mecanismos-planos-2oParte.pdf
Cinematica-y-dinamica-de-mecanismos-planos-2oParte.pdf

He publicado nuevos apuntes de 3º Mecánica de Máquinas: Teoria-2oParte-resumida.pdf

5 páginas

He publicado nuevos ejercicios de 3º Mecánica de Máquinas: Problemas-extras con solución 1º Parte.pdf

34 páginas

He publicado nuevos ejercicios de 3º Mecánica de Máquinas: Problemas-extras con solución 2º Parte.pdf

51 páginas

He publicado nuevos apuntes de 3º Mecánica de Máquinas: Formulas-importantes-asignatura.pdf

6 páginas

He publicado nuevos examenes de 3º Mecánica de Máquinas: Problema-de-examen-resuelto.pdf

2 páginas

examenes

-

solido rígido

He publicado nuevos examenes de 3º Mecánica de Máquinas: solido rígido

Enero-2022.pdf
Enero-2022.pdf
Equilibrado-de-ejes.pdf
Equilibrado-de-ejes.pdf
Junio-2019.pdf
Junio-2019.pdf
Anónimo

@Anónimo

He publicado nuevos apuntes de 3º Mecánica de Máquinas: APUNTES-Y-PROBLEMAS-MAQUINAS.pdf

66 páginas

He publicado nuevos ejercicios de 3º Mecánica de Máquinas: Ejercicios-completos-parcial-2.pdf

73 páginas
Anónimo

@Anónimo

examenes

-

PARCIALES 1 Y 2 2020-2021 CON SOLUCIÓN

He publicado nuevos examenes de 3º Mecánica de Máquinas: PARCIALES 1 Y 2 2020-2021 CON SOLUCIÓN

parcial2-2020-2021.pdf
parcial2-2020-2021.pdf
PARCIAL12020-2021.pdf
PARCIAL12020-2021.pdf
Anónimo

@Anónimo

examenes

-

PARCIALES 1 Y 2 2020-2021 CON SOLUCIÓN

He publicado nuevos examenes de 3º Mecánica de Máquinas: PARCIALES 1 Y 2 2020-2021 CON SOLUCIÓN

parcial2-2020-2021.pdf
parcial2-2020-2021.pdf
PARCIAL12020-2021.pdf
PARCIAL12020-2021.pdf

He publicado nuevos ejercicios de 3º Mecánica de Máquinas: Booklet-oficial-completo.pdf

29 páginas
Anónimo

@Anónimo

examenes

-

Examen mecanismos planos + SOLUCIÓN

He publicado nuevos examenes de 3º Mecánica de Máquinas: Examen mecanismos planos + SOLUCIÓN

Cinemas.pdf
Cinemas.pdf
examen.pdf
examen.pdf
Anónimo

@Anónimo

He publicado nuevos ejercicios de 3º Mecánica de Máquinas: problemas-con-solucion.pdf

43 páginas

He publicado nuevos apuntes de 3º Mecánica de Máquinas: Chuletario-parcial-2.pdf

1 página

He publicado nuevos examenes de 3º Mecánica de Máquinas: Preguntas-de-TEST--SOLUCION.pdf

10 páginas
Anónimo

@Anónimo

ejercicios

-

CUADERNO PROBLEMAS+ SOLUCIÓN

He publicado nuevos ejercicios de 3º Mecánica de Máquinas: CUADERNO PROBLEMAS+ SOLUCIÓN

ENUNCIADOS-MECANISMOS-PLANOS.pdf
ENUNCIADOS-MECANISMOS-PLANOS.pdf
RESOLUCION-PASO-A-PASO-DIN.zip
RESOLUCION-PASO-A-PASO-DIN.zip
ENUNCIADOS-CINEMATICA-Y-DINAMICA.pdf
ENUNCIADOS-CINEMATICA-Y-DINAMICA.pdf
Anónimo

@Anónimo

ejercicios

-

ENUNCIADOS DIN + SOLUCIÓN

He publicado nuevos ejercicios de 3º Mecánica de Máquinas: ENUNCIADOS DIN + SOLUCIÓN

ENUNCIADOS-CINEMATICA-Y-DINAMICA.pdf
ENUNCIADOS-CINEMATICA-Y-DINAMICA.pdf
RESOLUCION-PASO-A-PASO.zip
RESOLUCION-PASO-A-PASO.zip
Anónimo

@Anónimo

examenes

-

PARCIAL + RESOLUCIÓN

He publicado nuevos examenes de 3º Mecánica de Máquinas: PARCIAL + RESOLUCIÓN

ENUNCIADO-PARCIAL.pdf
ENUNCIADO-PARCIAL.pdf
RESOLUCION-PARCIAL-PASO-A-PASO.pdf
RESOLUCION-PARCIAL-PASO-A-PASO.pdf

He publicado nuevos trabajos de 3º Mecánica de Máquinas: PHOTO-2019-12-13-21-18-41.pdf

6 páginas

He publicado nuevos apuntes de 3º Mecánica de Máquinas: mecanica-de-maquinas-.pdf

78 páginas

He publicado nuevos examenes de 3º Mecánica de Máquinas: Examenes-Mecanica-de-Maquinas-con-tests.pdf

121 páginas

examenes

-

Examen Mecanica de maquinas test Varios

He publicado nuevos examenes de 3º Mecánica de Máquinas: Examen Mecanica de maquinas test Varios

SKMBT_50014062615170_0020.pdf
SKMBT_50014062615170_0020.pdf
SKMBT_50014062615170_0027.pdf
SKMBT_50014062615170_0027.pdf
test_PRIMERA_EV_1 (ENG) SOLUTION.pdf
test_PRIMERA_EV_1 (ENG) SOLUTION.pdf

He publicado nuevos examenes de 3º Mecánica de Máquinas: SKMBT_50014062615170_0017.pdf

1 página

He publicado nuevos examenes de 3º Mecánica de Máquinas: MecMaq_Test_ORD2015-2016_ENG_SOL (1).pdf

4 páginas

He publicado nuevos examenes de 3º Mecánica de Máquinas: SKMBT_50014062615170_0016.pdf

1 página

He publicado nuevos examenes de 3º Mecánica de Máquinas: SKMBT_50014062615170_0018.pdf

1 página

He publicado nuevos examenes de 3º Mecánica de Máquinas: SKMBT_50014062615170_0019.pdf

1 página

He publicado nuevos apuntes de 3º Mecánica de Máquinas: Primeros Temas.pdf

20 páginas

He publicado nuevos ejercicios de 3º Mecánica de Máquinas: pROBLEMA 11.pdf

1 página

He publicado nuevos ejercicios de 3º Mecánica de Máquinas: p02.pdf

1 página

He publicado nuevos examenes de 3º Mecánica de Máquinas: (Parcial) 20161011104214309.pdf

8 páginas

He publicado nuevos examenes de 3º Mecánica de Máquinas: (Parcial) TEST_MEC_MAQUINAS_2012_pARTE_2.pdf

2 páginas

He publicado nuevos examenes de 3º Mecánica de Máquinas: (Parcial) test_PRIMERA_EV_1 (ENG) SOLUTION.pdf

4 páginas

apuntes

-

examenes finales y parciales

He publicado nuevos apuntes de 3º Mecánica de Máquinas: examenes finales y parciales

TEST_MEC_MAQUINAS_2012_pARTE_2.pdf
TEST_MEC_MAQUINAS_2012_pARTE_2.pdf
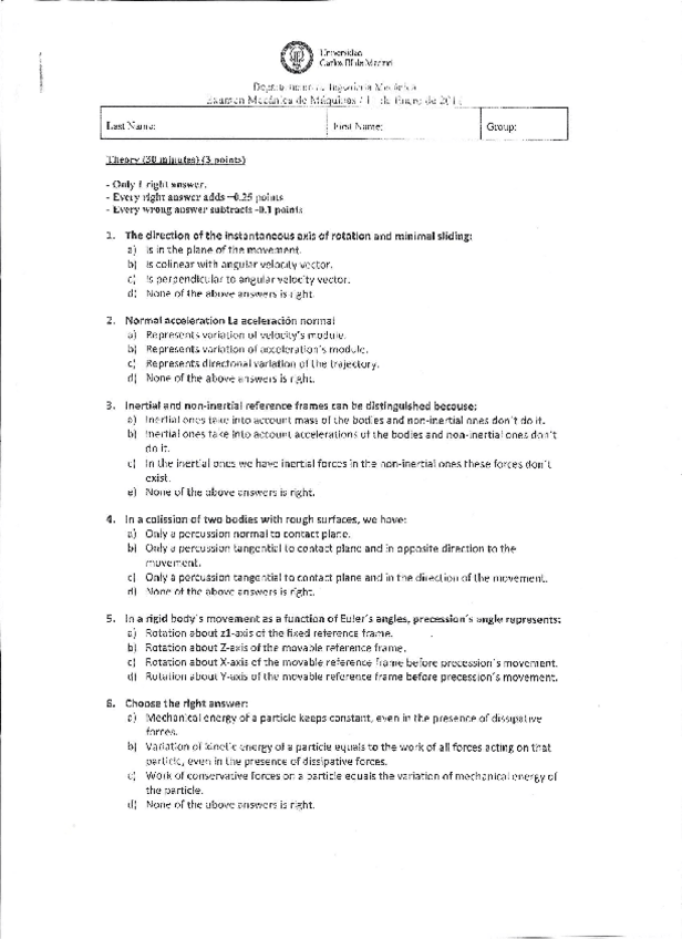
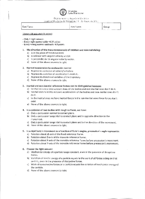
Enero 2011.pdf
Enero 2011.pdf
Enero.2011.bilingue.pdf
Enero.2011.bilingue.pdf

ejercicios

-

Ejercicios

He publicado nuevos ejercicios de 3º Mecánica de Máquinas: Ejercicios

Ejercicio 5 cinemas.pdf
Ejercicio 5 cinemas.pdf
IMG_0001.pdf
IMG_0001.pdf
Problemas de cinemática de mecanismos planos.pdf
Problemas de cinemática de mecanismos planos.pdf

examenes

-

parciales

He publicado nuevos examenes de 3º Mecánica de Máquinas: parciales

Ejemplos Ejercicio Parcial.pdf
Ejemplos Ejercicio Parcial.pdf
Enero 2011.pdf
Enero 2011.pdf
Enero.2011.bilingue.pdf
Enero.2011.bilingue.pdf

apuntes

-

Apuntes

He publicado nuevos apuntes de 3º Mecánica de Máquinas: Apuntes

Apuntes Politécnica Mecanica.pdf
Apuntes Politécnica Mecanica.pdf
formulario.pdf
formulario.pdf
Maquinas.pdf
Maquinas.pdf