Mecánica I

Todo
Apuntes
Ejercicios
Exámenes
Trabajos
chevron_left
chevron_right

ejercicios

-

Boletines resueltos

He publicado nuevos ejercicios de 2º Mecánica I: Boletines resueltos

Boletin-1.-Coordenadas-Curvilineas..pdf
Boletin-2.-Cinematica..pdf
Boletin-3.-Dinamica-del-Punto..pdf
Boletin-4.-Sistemas-de-Particulas-y-Masa-Variable.pdf.pdf
Boletin-Tema-5-Parte-1.pdf
Boletin-Tema-5-Parte-2.pdf

apuntes

-

Apunts Mecànica I

He publicado nuevos apuntes de 2º Mecánica I: Apunts Mecànica I

MEC-TEMA-4.pdf

He publicado nuevos ejercicios de 2º Mecánica I: TUTELADES-TEMA-4-MEC-I.pdf

12 páginas

He publicado nuevos ejercicios de 2º Mecánica I: TUTELADES-TEMA-3-MEC-I.pdf

19 páginas

He publicado nuevos apuntes de 2º Mecánica I: MEC-I-TEMA-3.pdf

7 páginas

ejercicios

-

Bulletí 5

He publicado nuevos ejercicios de 2º Mecánica I: Bulletí 5

BULLETI-5-II.pdf
BULLETI-5-I.pdf

apuntes

-

TEORIA MECÁNICA I

Aquí está todo el temario y demostraciones de Mecánica I con explicaciones de clase de Francisco excepto ecuaciones de Euler, que por la DANA no las dimos. Las demostraciones igual, están prácticamente todas excepto quizás las de final de temario que tamp

MECT1.pdf
MECT2.pdf
MECT3.pdf
MECT4.pdf
MECT5.pdf
MECT6.pdf

He publicado nuevos ejercicios de 2º Mecánica I: Butlleti-2.pdf

13 páginas

He publicado nuevos ejercicios de 2º Mecánica I: Butlleti-1.pdf

12 páginas

apuntes

-

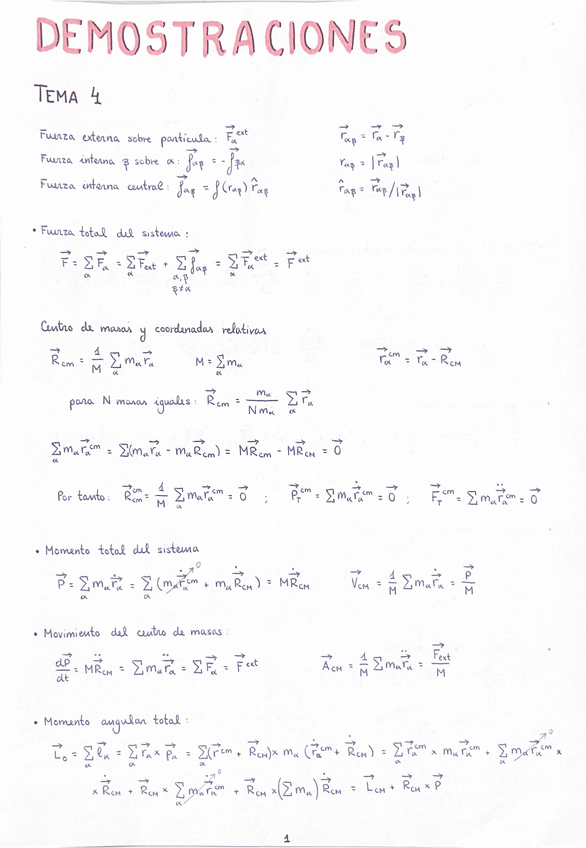
Demostraciones

He publicado nuevos apuntes de 2º Mecánica I: Demostraciones

1-demostraciones-mecanica-I.pdf
3-demostraciones-mecanica-I.pdf
2-demostraciones-mecanica-I.pdf

Resúmenes teoría mecánica I

11 páginas

ejercicios

-

TUTELADAS (y ejs teoría) MECI

He publicado nuevos ejercicios de 2º Mecánica I: TUTELADAS (y ejs teoría) MECI

APENDICE-MECI.pdf
BOLETIN-1-MECI.pdf
BOLETIN-2-MECI.pdf
BOLETIN-3-MECI.pdf
BOLETIN-4-MECI.pdf
BOLETIN-5-MECI.pdf

ejercicios

-

butlletins mec1

He publicado nuevos ejercicios de 2º Mecánica I: butlletins mec1

but-t0-mec1.pdf
but-t1-mec1.pdf
but-t2-mec1.pdf
but-t3-mec1.pdf
but-t4-mec1.pdf
but-t5-mec1.pdf

He publicado nuevos apuntes de 2º Mecánica I: demostraciones-mecanica-I.pdf

5 páginas

He publicado nuevos apuntes de 2º Mecánica I: mecanica-I-apendice.pdf

13 páginas

He publicado nuevos apuntes de 2º Mecánica I: importante-Mecanica-I.pdf

8 páginas
Anónimo

@Anónimo

He publicado nuevos apuntes de 2º Mecánica I: examen-mecanica-I-enero-2023.pdf

8 páginas

He publicado nuevos apuntes de 2º Mecánica I: explicaciones-mecanica-I.pdf

17 páginas

apuntes

-

Controles mecánica I

He publicado nuevos apuntes de 2º Mecánica I: Controles mecánica I

Controles-T1-3.pdf
controles-T4-6.pdf
Anónimo

@Anónimo

Apuntes de Sólido Rígido SIN ANUNCIOS y hechos en LaTeX

26 páginas

ejercicios

-

Tuteladas mecánica I

He publicado nuevos ejercicios de 2º Mecánica I: Tuteladas mecánica I

boletin-tema-1.pdf
Boletin-tema-2.pdf
Boletin-tema-0.pdf
boletin-tema-3.pdf
Boletin-tema-4a.pdf
Boletin-tema-4b.pdf

apuntes

-

Resums Mecànica I

He publicado nuevos apuntes de 2º Mecánica I: Resums Mecànica I

Tema-1-Coordenades-curvilinies.pdf
Tema-2-Cinematica.pdf
Tema-3-Dinamica-del-punt.pdf
Tema-4-Sistemes-de-particules.pdf
Tema-5-Teoria-del-potencial.-Moviment-en-camps-centrals.-Problema-de-Kepler.pdf
Tema-6-Collisions-i-dispersio.pdf

apuntes

-

mecànica 1 - resums per tema

He publicado nuevos apuntes de 2º Mecánica I: mecànica 1 - resums per tema

mec1-resum-t0.pdf
mec1-resum-t1.pdf
mec1-resum-t2.pdf
mec1-resum-t3.pdf.pdf
mec1-resum-t4.pdf
mec1-resum-t5.pdf

apuntes

-

Apunts

He publicado nuevos apuntes de 2º Mecánica I: Apunts

Tema-1--Coordenades-Curvilinies.pdf
T3-Dinamica.pdf
Tema-7--Sistemes-no-inercials.pdf
T4--Sistemes-de-Particules.pdf
T6-Collisions-i-dispersio.pdf
T2-Cinematica.pdf

ejercicios

-

Tutelades 22/23

He publicado nuevos ejercicios de 2º Mecánica I: Tutelades 22/23

Butlleti1CoordenadesCurvilinies.pdf
ButlletiI3DinaImica.pdf
ButlletiI2CinemaItica.pdf
ButlletiI4Sistemes.pdf
B5ab.pdf
ButlletiI8SolidRigid.pdf

He publicado nuevos examenes de 2º Mecánica I: Examens.pdf

22 páginas

He publicado nuevos apuntes de 2º Mecánica I: boletines-y-pruebas.pdf

72 páginas

He publicado nuevos apuntes de 2º Mecánica I: Mecanica1Teoria.pdf

56 páginas

He publicado nuevos ejercicios de 2º Mecánica I: Mecanica1Ejercicios.pdf

45 páginas

He publicado nuevos apuntes de 2º Mecánica I: ResumenTemasMec1.pdf

9 páginas

apuntes

-

Apunts i Butlletins Resolts - Mecànica I

He publicado nuevos apuntes de 2º Mecánica I: Apunts i Butlletins Resolts - Mecànica I

Apunts-Mecanica-I.pdf
Butlleti-II-Mecanica-I.pdf
Butlleti-IV-Mecanica-I.pdf
Butlleti-V-Mecanica-I.pdf
Butlleti-VII-Mecanica-I.pdf
Butlleti-VIII-Mecanica-I.pdf

He publicado nuevos apuntes de 2º Mecánica I: Apunts-Estudi.pdf

24 páginas

ejercicios

-

Butlletins

He publicado nuevos ejercicios de 2º Mecánica I: Butlletins

Butlleti2Cinematica.pdf
Butlleti5bPotencialsCentrals.pdf
Butlleti4Sistemes.pdf
Butlleti-1.pdf
Butllleti7.pdf
Butlleti6.pdf

ejercicios

-

Boletines Resueltos Mec1

He publicado nuevos ejercicios de 2º Mecánica I: Boletines Resueltos Mec1

T1-boletin-mec1.pdf
T2-boletin-mec1.pdf
T3-boletin-mec1.pdf
T4-boletin-mec1.pdf
T5a-boletin-mec1.pdf
T5b-boletin-mec1.pdf

apuntes

-

RIP Mecánica I

He publicado nuevos apuntes de 2º Mecánica I: RIP Mecánica I

Tema-1.pdf
Tema-0.pdf
Tema-2.pdf
Tema-3.pdf

apuntes

-

Apunts classe

He publicado nuevos apuntes de 2º Mecánica I: Apunts classe

Mecanica2.pdf
Mecanica1.pdf
Mec4.pdf
Mec7.pdf
Mec5.pdf
Mec8.pdf

ejercicios

-

Tutelades resoltes

He publicado nuevos ejercicios de 2º Mecánica I: Tutelades resoltes

MecTutelada4.pdf
MecTutelada1.pdf
MecTutelada6.pdf
MecTutelada7.pdf
MecTutelada5.pdf
MecTutelada3.pdf

apuntes

-

Apunts teoria MEC I

He publicado nuevos apuntes de 2º Mecánica I: Apunts teoria MEC I

EXPORTAR-T5-Teoria-del-potencial.pdf
EXPORTAR-T7-Sistemes-no-inercials.pdf
EXPORTAR-T8-Solid-rigid.pdf

apuntes

-

Apunts Teoria Mecànica I

He publicado nuevos apuntes de 2º Mecánica I: Apunts Teoria Mecànica I

EXPORTAR-T7-Sistemes-no-inercials.pdf
EXPORTAR-T5-Teoria-del-potencial.pdf
EXPORTAR-T8-Solid-rigid.pdf

ejercicios

-

Mecànica I - Butlletins problemes

He publicado nuevos ejercicios de 2º Mecánica I: Mecànica I - Butlletins problemes

Mecanica-I-Butlleti-2.pdf
Mecanica-I-Butlleti-1.pdf
Mecanica-I-Butlleti-3.pdf
Mecanica-I-Butlleti-4.pdf
Mecanica-I-Butlleti-7.pdf
Mecanica-I-Butlleti-6.pdf

apuntes

-

Apunts classe

He publicado nuevos apuntes de 2º Mecánica I: Apunts classe

Mecanica-I-Tema-3.pdf
Mecanica-I-Tema-4.pdf
Mecanica-I-Tema-1-1.pdf
Mecanica-I-Tema-2.pdf
Mecanica-I-Tema-5.pdf
Mecanica-I-Tema-6.pdf
Anónimo

@Anónimo

examenes

-

EXÁMENES

He publicado nuevos examenes de 2º Mecánica I: EXÁMENES

Gener2012A.pdf
Gener2011A.pdf

He publicado nuevos apuntes de 2º Mecánica I: Mecanica-I-2a-conv.pdf

9 páginas

He publicado nuevos examenes de 2º Mecánica I: Mecanica-I-1a-conv.pdf

7 páginas
Anónimo

@Anónimo

apuntes

-

Apuntes coordenadas bien explicado

He publicado nuevos apuntes de 2º Mecánica I: Apuntes coordenadas bien explicado

diferenciales.pdf
gradiente.pdf
coordenadas.pdf

apuntes

-

TUTELADAS RESOLUCIÓN

He publicado nuevos apuntes de 2º Mecánica I: TUTELADAS RESOLUCIÓN

Boletin-7.pdf
Boletin-1.pdf
Boletin-8.pdf
Boletin-3.pdf
Boletin-2.pdf
Boletin-4.pdf