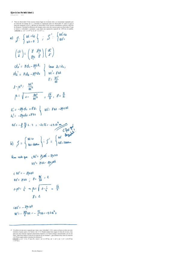
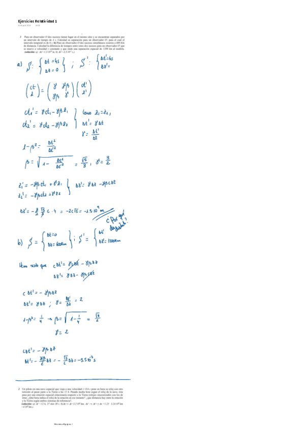
Ejercicios-Relatividad-1.pdf

Anónimo

Tutelados y ejercicios resueltos

15 archivos·

Lagrangiano-Pascua.pdf

5 páginas

Ejercicios-lagrangianos-1.pdf

28 páginas

Ejercicios-Relatividad-1.pdf

17 páginas

Tutelados-lagrangianos.pdf

19 páginas

Ejercicios-lagrangianos-refuerzo.pdf

10 páginas

Tutelados-Relatividad.pdf

26 páginas

Introducciontutelados.pdf

9 páginas

Ejercicios-lagrangianos-2.pdf

20 páginas

Ejercicios-barra.pdf

8 páginas

Ejercicios-Relatividad-2.pdf

12 páginas

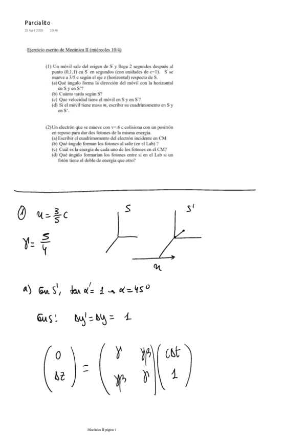
Parcialito.pdf

8 páginas

Sant-Jordi-relativista.pdf

1 página

Ejercicios-tutelados-hamilton.pdf

16 páginas

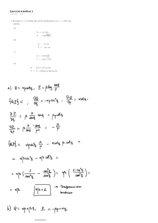
Ejercicios-Hamilton-2.pdf

11 páginas

Ejercicios-Hamilton-1.pdf

22 páginas

content_copy

Archivos recomendados