Mecánica II

chevron_left
chevron_right
Todo
Apuntes
Ejercicios
Exámenes
PEC
Trabajos
chevron_left
chevron_right

ejercicios

-

boletines y entregables

He publicado nuevos ejercicios de 2º Mecánica II: boletines y entregables

Boletin-3.pdf
Boletin-0.pdf
Boletin-1.pdf
Boletin-2.pdf
Entregables.pdf

apuntes

-

teoria

He publicado nuevos apuntes de 2º Mecánica II: teoria

Tema-1.pdf
Tema-2.pdf
Tema-3.pdf
Tema-4.pdf
Tema-5.pdf
Tema-6.pdf

apuntes

-

BOLETINES Y TUTORÍAS MECÁNICA I

Aquí están las tuteladas y algunos de los ejercicios de los boletines 2,3 y 4 con explicaciones paso a paso de cómo resolverlos. Cabe decir que algunos no están resueltos hasta el resultado porque aquí el que quiera hacer álgebra y cálculo avanzados se pu

MECB2.pdf
MECB3.pdf
MECB4.pdf
MECTUT.pdf
Anónimo

@Anónimo

ejercicios

-

Boletines resueltos 2024/25

He publicado nuevos ejercicios de 2º Mecánica II: Boletines resueltos 2024/25

Boletin-2.pdf
Boletin-3.pdf
Boletin-1.pdf

He publicado nuevos examenes de 2º Mecánica II: Examen-problemas-1a-2025.pdf

2 páginas

He publicado nuevos examenes de 2º Mecánica II: Examen-teoria-1a-2025.pdf

1 página

He publicado nuevos examenes de 2º Mecánica II: Formulario-Mecanica-II.pdf

2 páginas

apuntes

-

Exámenes resueltos

He publicado nuevos apuntes de 2º Mecánica II: Exámenes resueltos

2024-1a-convo-teoria.pdf
2024-1a-conv-problemas.pdf
2024-2a-conv-teoria.pdf
2024-2a-conv-problemas.pdf
2023-2a-conv-teoria.pdf
2023-2a-conv-problemas.pdf

apuntes

-

Teoría importante explicada

He publicado nuevos apuntes de 2º Mecánica II: Teoría importante explicada

Capitulo-4-Teoria-de-Hamilton-Jacobi.pdf
Capitulo-5-Simultaneidad-contraccion-espacial-y-dilatacion-temporal.pdf
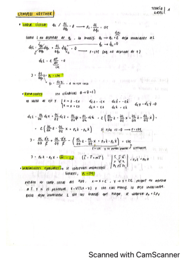
Capitulo-2-Teorema-de-Noether.pdf
Capitulo-1-Ecuaciones-Euler-Lagrange.pdf
Capitulos-1-y-3-Potencial-central.pdf

apuntes

-

Entregables 2025

He publicado nuevos apuntes de 2º Mecánica II: Entregables 2025

Lagrange.pdf
Hamilton.pdf
Relatividad.pdf

ejercicios

-

Boletines 2025

He publicado nuevos ejercicios de 2º Mecánica II: Boletines 2025

boletin 2 (1-4, 7-13).pdf
boletin 3 (1-11).pdf
boletin 3 (12-17, 23-25, 28-30, 36).pdf
boletin 0.pdf
boletin 2 (14, 16, 17, 20).pdf
boletin 1 (1b-c, 6, 7, 9-11, 16, 17, 21).pdf

ejercicios

-

Entregables mec2

He publicado nuevos ejercicios de 2º Mecánica II: Entregables mec2

Entregable1-mec2.pdf
Entregable2-mec2.pdf
Entregable3-mec2.pdf

ejercicios

-

Tuteladas mec2

He publicado nuevos ejercicios de 2º Mecánica II: Tuteladas mec2

B1-hamilton-euler-lagrange-mec2.pdf
B0-mec2.pdf
B2-hamilton-mec2.pdf
B3-relatividad-mec2.pdf

Lagrange y Hamilton

6 páginas

ejercicios

-

Tuteladas

Hay algún ejercicio que está en sucio

bulleti-1.pdf
bulleti-1B.pdf
bulleti-2.pdf
Bulleti-3.pdf

apuntes

-

APUNTES CASTELLANO CON DEMOSTRACIONES

la letra está chiquita

BLOQUE-2-FORMULACION-HAMILTONIANA.pdf
BLOQUE-1-FORMULACION-LAGRANGANGIANA.pdf
BLOQUE-3-RELATIVIDAD.pdf

apuntes

-

Ejercicios y exámenes resueltos cumpilation

He publicado nuevos apuntes de 2º Mecánica II: Ejercicios y exámenes resueltos cumpilation

Ejercicios-240523185122-1-20.pdf
Ejercicios-240523185122-21-40.pdf
Ejercicios-240523185122-41-60.pdf
Ejercicios-240523185122-61-80.pdf
Ejercicios-240523185122-81-98.pdf

ejercicios

-

TUTELADAS (y ejs teoría) MECII

He publicado nuevos ejercicios de 2º Mecánica II: TUTELADAS (y ejs teoría) MECII

BOLETIN-0-MECII.pdf
BOLETIN-1-MECII.pdf
BOLETIN-2-MECII.pdf
BOLETIN-3-MECII.pdf
ENTREGABLE-2-MECII.pdf
ENTREGABLE-3-MECII.pdf

apuntes

-

TEORÍA MECII

He publicado nuevos apuntes de 2º Mecánica II: TEORÍA MECII

FORMULARIO-MECII.pdf
TEORIA-1-MECII.pdf
TEORIA-2-MECII.pdf
TEORIA-3-MECII.pdf
TEORIA-4-MECII.pdf
TEORIA-5-MECII.pdf

ejercicios

-

butlletins mec2

He publicado nuevos ejercicios de 2º Mecánica II: butlletins mec2

but0-mec2.pdf
but1-mec2.pdf
but2-mec2.pdf
but3-mec2.pdf

He publicado nuevos apuntes de 2º Mecánica II: teoria-varia.pdf

6 páginas

He publicado nuevos ejercicios de 2º Mecánica II: boletin-3.pdf

16 páginas

He publicado nuevos examenes de 2º Mecánica II: recopilacion-examenes-resueltos.pdf

46 páginas

He publicado nuevos ejercicios de 2º Mecánica II: boletin-1.pdf

21 páginas

He publicado nuevos ejercicios de 2º Mecánica II: boletin-2.pdf

15 páginas

ejercicios

-

boletines

He publicado nuevos ejercicios de 2º Mecánica II: boletines

boletin-3--relatividad.pdf
mecii-boletin-0.pdf
mecii-boletin-2.pdf
mecii-boletin-1.pdf
mecii-boletin-1-noether.pdf

He publicado nuevos apuntes de 2º Mecánica II: teoria-importante.pdf

23 páginas

examenes

-

exámenes

He publicado nuevos examenes de 2º Mecánica II: exámenes

examen-2023-1a-convocatoria-problemas.pdf
examen-2023-1a-convocatoria-teoria.pdf

ejercicios

-

entregables caste

He publicado nuevos ejercicios de 2º Mecánica II: entregables caste

entrega-Relatividad.pdf
entrega-Hamilton.pdf
entrega-Lagrange.pdf

apuntes

-

Entregables DG FQ

He publicado nuevos apuntes de 2º Mecánica II: Entregables DG FQ

Entregable-1.pdf
Entregable-0.pdf
Entregable-2.pdf
Entregable-3.pdf
Entregable-6.pdf
Entregable-5.pdf

He publicado nuevos apuntes de 2º Mecánica II: Recopilacion-demostraciones.pdf

7 páginas

apuntes

-

mecànica 2 - resums per blocs

He publicado nuevos apuntes de 2º Mecánica II: mecànica 2 - resums per blocs

B1-lagrange-mec2.pdf
B2-relativitat-mec2.pdf
B3-hamilton-mec2.pdf

apuntes

-

Apunts clase mec.II

He publicado nuevos apuntes de 2º Mecánica II: Apunts clase mec.II

Tema-1-bloc-lagrangiana.pdf
Tema-2-bloc-lagrangiana.pdf
Tema-3-bloc-relativitat.pdf
Tema-4-Bloc-relativitat.pdf
Tema-5-Bloc-Hamiltonia.pdf

apuntes

-

Entregables MecII 2023

He publicado nuevos apuntes de 2º Mecánica II: Entregables MecII 2023

Entregable-Hamilton.pdf
Entregable-Lagrangiana.pdf
Entregable-Relatividad.pdf

He publicado nuevos apuntes de 2º Mecánica II: formulario-mec2.pdf

2 páginas

ejercicios

-

Boletines castellano 2023

He publicado nuevos ejercicios de 2º Mecánica II: Boletines castellano 2023

Boletin-1.pdf
Boletin-2.pdf
Boletin-3.pdf

He publicado nuevos apuntes de 2º Mecánica II: Apuntes-Clase-Bonitos.pdf

88 páginas

He publicado nuevos apuntes de 2º Mecánica II: Formulario-Examen.pdf

2 páginas

apuntes

-

Resums Mecànica II

He publicado nuevos apuntes de 2º Mecánica II: Resums Mecànica II

Tema-1-Equacions-dEuler-Lagrange-i-principi-de-Hamilton.pdf

apuntes

-

Bulletíns

He publicado nuevos apuntes de 2º Mecánica II: Bulletíns

Bulleti-1.pdf
Bulleti-2.pdf
Bulleti-3.pdf

ejercicios

-

Lliurables

He publicado nuevos ejercicios de 2º Mecánica II: Lliurables

Lliurable-F.Hamiltoniana.pdf
Lliurable-Relativitat.pdf
Lliurable-F.Lagrangiana.pdf

He publicado nuevos ejercicios de 2º Mecánica II: EntregableHamiltoniaDavid.pdf

10 páginas

He publicado nuevos ejercicios de 2º Mecánica II: EntregableLagrangianaDavid-1.pdf

12 páginas

He publicado nuevos ejercicios de 2º Mecánica II: Entreglable-I-Mec-II-1.pdf

7 páginas

He publicado nuevos ejercicios de 2º Mecánica II: Entregable-Formulacion-Hamiltoniana-1.pdf

5 páginas

apuntes

-

Teoria

He publicado nuevos apuntes de 2º Mecánica II: Teoria

Teoria-Mec-hamiltonians.pdf
Teoria-Mec-lagrangians.pdf
Teoria-Mec-relativitat.pdf

ejercicios

-

Butlletins

He publicado nuevos ejercicios de 2º Mecánica II: Butlletins

Butlleti2.pdf
Butlleti3.pdf
Butlleti1.pdf

He publicado nuevos ejercicios de 2º Mecánica II: Mecanica2Ejercicios.pdf

51 páginas

He publicado nuevos apuntes de 2º Mecánica II: Mecanica2Resumen.pdf

14 páginas

He publicado nuevos ejercicios de 2º Mecánica II: Mecanica2Entregas.pdf

22 páginas

He publicado nuevos apuntes de 2º Mecánica II: Mecanica2Teoria.pdf

76 páginas

He publicado nuevos apuntes de 2º Mecánica II: demostracionesMecII.pdf

5 páginas

He publicado nuevos examenes de 2º Mecánica II: Examenes-Resueltos-Mecanica-II-Castellano.pdf

24 páginas

ejercicios

-

Ejercicios Resueltos Mecánica II Castellano

He publicado nuevos ejercicios de 2º Mecánica II: Ejercicios Resueltos Mecánica II Castellano

Ejercicios-Tema-1-Mecanica-Lagrangiana.pdf
Ejercicios-Tema-2-Relatividad-Especial.pdf
Ejercicios-Tema-3-Mecanica-Hamiltoniana.pdf

apuntes

-

Apuntes Mecánica II Castellano

He publicado nuevos apuntes de 2º Mecánica II: Apuntes Mecánica II Castellano

Tema-1-Mecanica-Lagrangiana.pdf
Tema-2-Relatividad-especial-y-particulas.pdf
Tema-3-Mecanica-Hamiltoniana.pdf

He publicado nuevos pec de 2º Mecánica II: Entregable-1-Mecanica-II.pdf

6 páginas

ejercicios

-

Entregables Mecànica II 2021-2022

He publicado nuevos ejercicios de 2º Mecánica II: Entregables Mecànica II 2021-2022

EntregableMecanicaLagrangiana.pdf
EntregableHamilton.pdf
EntregableRelativitat.pdf

examenes

-

Exàmens teoria

He publicado nuevos examenes de 2º Mecánica II: Exàmens teoria

MecII-ExamenTeoria2021Extraordinaria.pdf
MecII-ExamenTeoria2021Ordinaria.pdf
MecII-ExamenTeoria2022Ordinaria.pdf

ejercicios

-

Tutelades resoltes

He publicado nuevos ejercicios de 2º Mecánica II: Tutelades resoltes

MecII-But0.pdf
MecII-But1+Entregable1.pdf
MecII-But2+Entregable2.pdf
MecII-But3+Entregable3.pdf

apuntes

-

Apunts de classe

He publicado nuevos apuntes de 2º Mecánica II: Apunts de classe

MecIITema0.pdf
MecIITema1.pdf
MecIITema2.pdf
MecIITema3.pdf