Mecánica y Ondas II

chevron_left
chevron_right
Todo
Ejercicios
Exámenes
chevron_left
chevron_right

ejercicios

-

Ejercicios resueltos

He publicado nuevos ejercicios de 2º Mecánica y Ondas II: Ejercicios resueltos

MyOII-Ejercicios-T2.pdf
MyOII-Ejercicios-T3.pdf
MyOII-Ejercicios-T4.pdf
MyOII-Ejercicios-T5.pdf
MyOII-Ejercicios-T6.pdf
MyOII-Ejercicios-T7.pdf

He publicado nuevos examenes de 2º Mecánica y Ondas II: Formulario-examen-ondas.pdf

2 páginas

He publicado nuevos ejercicios de 2º Mecánica y Ondas II: Ejercicios-examenes-detallados.pdf

33 páginas

He publicado nuevos ejercicios de 2º Mecánica y Ondas II: Ejercicios-de-examenes-detallados.pdf

33 páginas

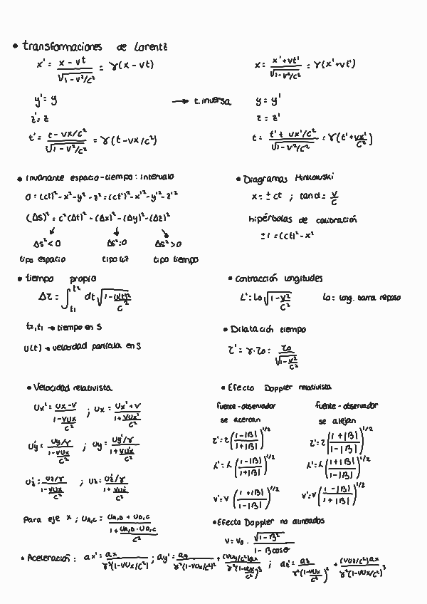
He publicado nuevos examenes de 2º Mecánica y Ondas II: Formulario-examen-relatividad.pdf

2 páginas
¡Estás al día!

¡Estás al día!

Has visto todos los archivos