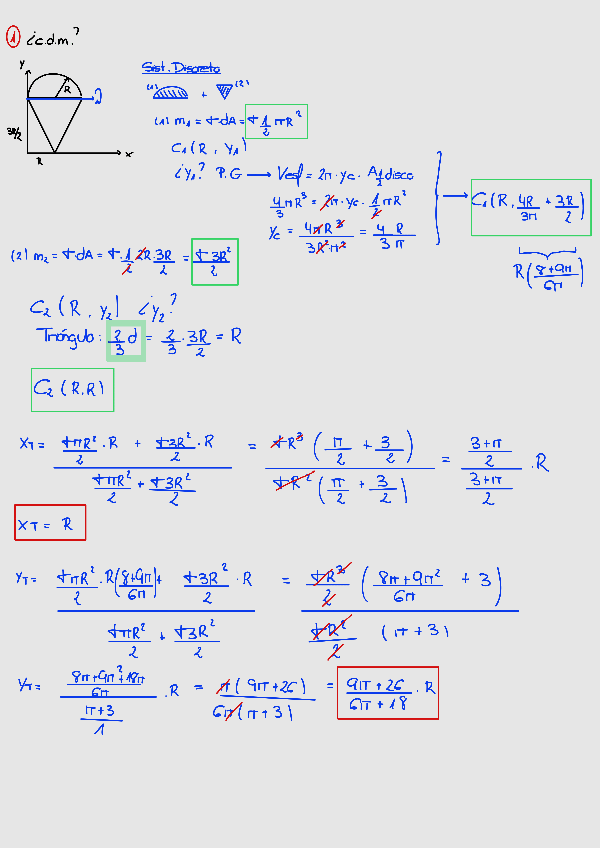
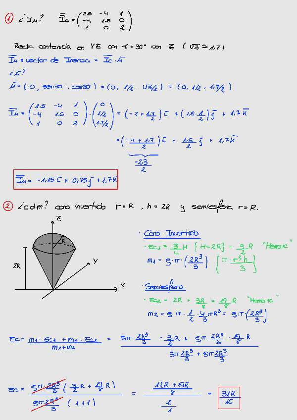
120241113112044.pdf

cabrera03

Exámenes Dinámica Resueltos

22 archivos·

120241113112044.pdf

4 páginas

121241111185551.pdf

5 páginas

122241110130508.pdf

5 páginas

621241112183742.pdf

6 páginas

622241111164255.pdf

5 páginas

1118-GIE241113124829.pdf

4 páginas

1118-GITM241113132237.pdf

3 páginas

1119-GIE241112194350.pdf

5 páginas

Examen-Enero-22-23241109190245-1.pdf

5 páginas

Examen-Enero-202324241013160752.pdf

3 páginas

Examen-GIE-202223241027121535.pdf

5 páginas

Examen-GIE-202324241019182836.pdf

3 páginas

Examen-GITM-202223241026191702.pdf

5 páginas

Examen-GITM-202324241010164941.pdf

4 páginas

Examen-Junio-22-23241110112106.pdf

4 páginas

examendinamica081117GIEb76a2dbdccbf1008275c1b1241114124425.pdf

6 páginas

examendinamica081117MG06ee5c6da1b42913d0d50ab6241113191255.pdf

12 páginas

examendinamicaenero090118bef3204a297d375ff1647241113191517.pdf

8 páginas

ExamenDinamicaEnero09011929e00eb1409c9494d850f241113182534.pdf

7 páginas

ExamenDinamicaJulio230620teoria98462f6a0b12ab241113112308.pdf

2 páginas

ExamenDinamicaJulio250619b8007f551491e850fa33e241113185822.pdf

9 páginas

examendinamicajulio290618fe9fbd0bf080d575741dc241113191907.pdf

11 páginas

content_copy

Archivos recomendados