Anónimo
Portada
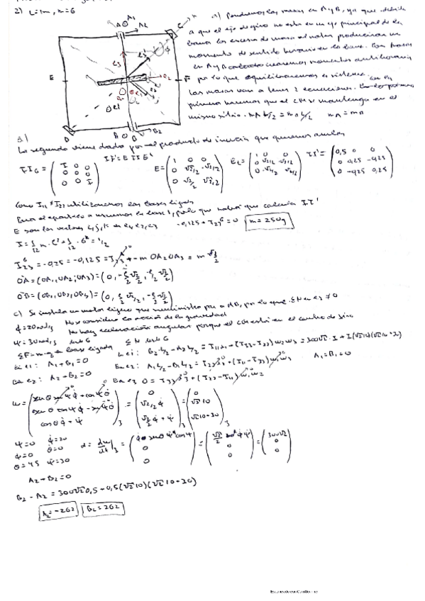
Asignatura
Grado en Ingeniería en Tecnologías Industriales (UPCO)
Mecánica
Fecha de subida
09 jun 2022
Categoría
examenes
Etiquetas
Ejercicios - Problemas-Tema-1.pdf
pdf
13 páginas
192
3
Exámenes - Finales-Mecanica.pdf
20 páginas
162
Apuntes - Problemas-Tema-10.pdf
10 páginas
180
1
Apuntes - Resumenes-Mecanica-1er-Cuatri-2D.pdf
5 páginas
111
Ejercicios - Problemas-Tema-11.pdf
7 páginas
145
2
Exámenes - Finales-mecanica-2017-2021.pdf
171
Ejercicios - Problemas-Tema-5.pdf
114
0
Exámenes - Mecanica-Inters-2.pdf
18 páginas
92
Apuntes - MEC-mayo-18-pb1.pdf
1 página
112
Apuntes - Problemas-Tema-6.pdf
11 páginas
83
Ejercicios - Problemas-Tema-12.pdf
21 páginas
78
Apuntes - MEC-junio-discosuelto-2018.pdf
71
Exámenes - Examenes-resueltos.pdf
89
Apuntes - mayo-2019-pb2.pdf
72
Exámenes - Mayo-1er-Cuatri-2018.pdf
3 páginas
82
Apuntes - MEC-extra-18-pb2.pdf
65
Exámenes - Cuatrimestral-Dic-2017-ob2.pdf
80
Apuntes - Teoria-mecanica-3D.pdf
4 páginas
79
Apuntes - Problemas-12.pdf
53
Exámenes - Todos-los-Enunciados-Diciembre-Mecanica-para-imprimir.pdf
51 páginas
36