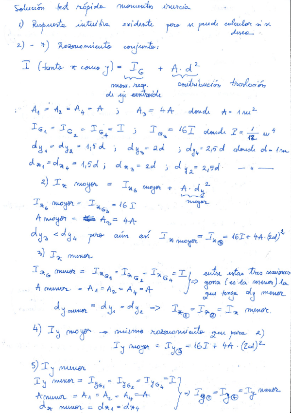
solucion-test-rapido-momentos-inercia21ffd2325cf1407f8990325de98105c5.pdf

maartix

Tests ràpids 2021-2022

7 archivos·

Enunciado-test-rapido-cinematica-particula67cbb0e218c815bb864e28978c4771e0.pdf

5 páginas

Enunciado-test-Producto-vectorial-y-Momentose725d1f9b34ae70ff1c38cb6d59013d6.pdf

6 páginas

Test-rapido-Cinematica-del-solido-rigido-Enunciado49ed47cb92ae77aa53881e9e912e063b.pdf

7 páginas

Enunciado-Test-Rapido-Dinamica-del-solido-rigidobccd45576d7a54bf54900dd30e2e7471.pdf

6 páginas

Respuestas-test-momento-de-inercia8b81643308d4c6aad592fa2f3ee81c13.pdf

5 páginas

Solucion-ejercicios-test-338f7f5f4ab1d6bb23ce67590e9932131.pdf

4 páginas

solucion-test-rapido-momentos-inercia21ffd2325cf1407f8990325de98105c5.pdf

2 páginas

content_copy

Archivos recomendados