Finalp2H.pdf

angelupc

Exámenes segundo parcial

21 archivos·

2015-mm3-parcial2-b-1.pdf

7 páginas

2015-mm3-parcial2-d.pdf

7 páginas

Ex2-MM3-15-16-ABC-resolt-1.pdf

5 páginas

Ex2-MM3-GrupsABC-14-15-resolt.pdf

5 páginas

Ex2MatesII1011resolt.pdf

4 páginas

Ex2MatesII1112resolt.pdf

6 páginas

Ex2Mates-II1213Grup4resolt.pdf

6 páginas

Ex2MM3grup421-22resolt.pdf

6 páginas

Examen-2-Mates-II-1314-GrupD-ressolt.pdf

5 páginas

Examen-2-Mates-II-1314-Grups-ABC-resolt-1.pdf

5 páginas

Ex-Mates-II-1213-G1-2-3resolt.pdf

5 páginas

ProblemesExamenEDOSiTL.pdf

10 páginas

Finalp2A.pdf

5 páginas

Finalp2B.pdf

3 páginas

Finalp2C.pdf

5 páginas

Finalp2D.pdf

5 páginas

Finalp2E.pdf

5 páginas

Finalp2F.pdf

5 páginas

Finalp2G.pdf

5 páginas

Finalp2H.pdf

5 páginas

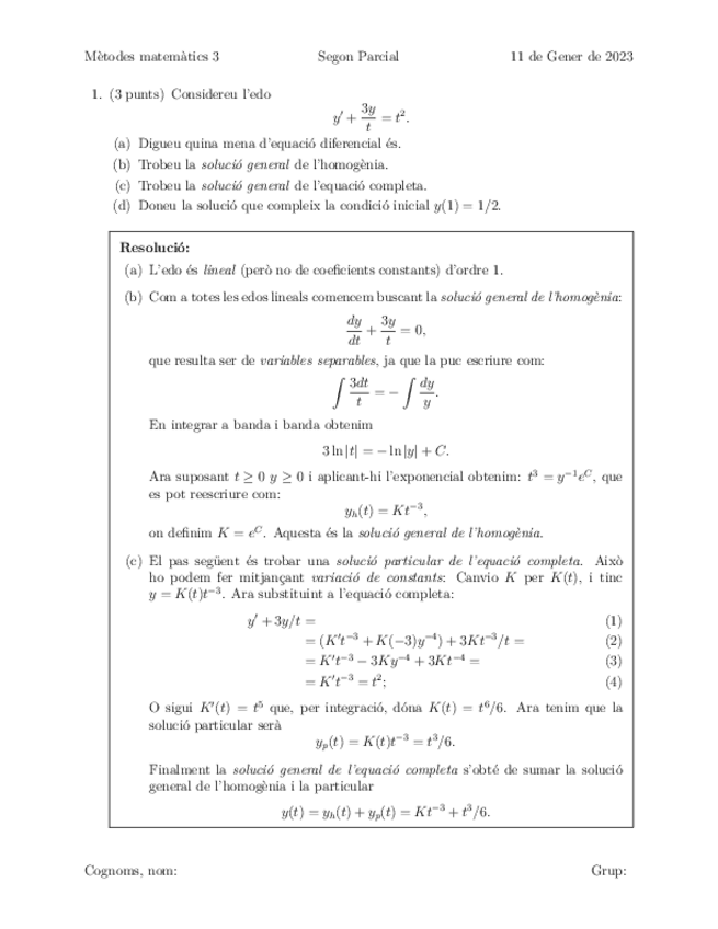
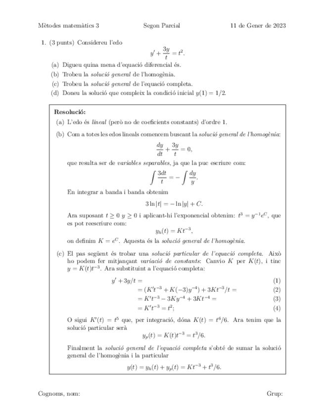
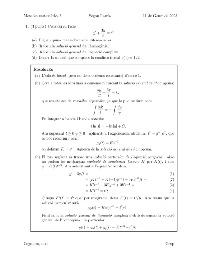
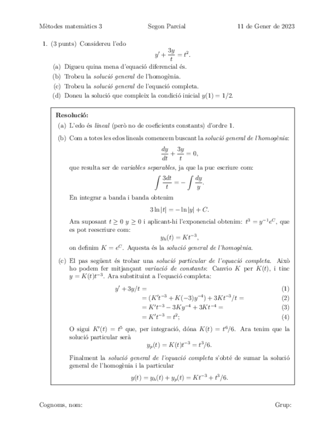
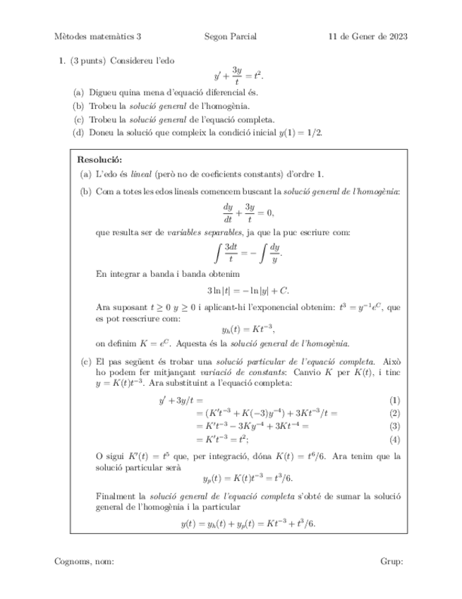
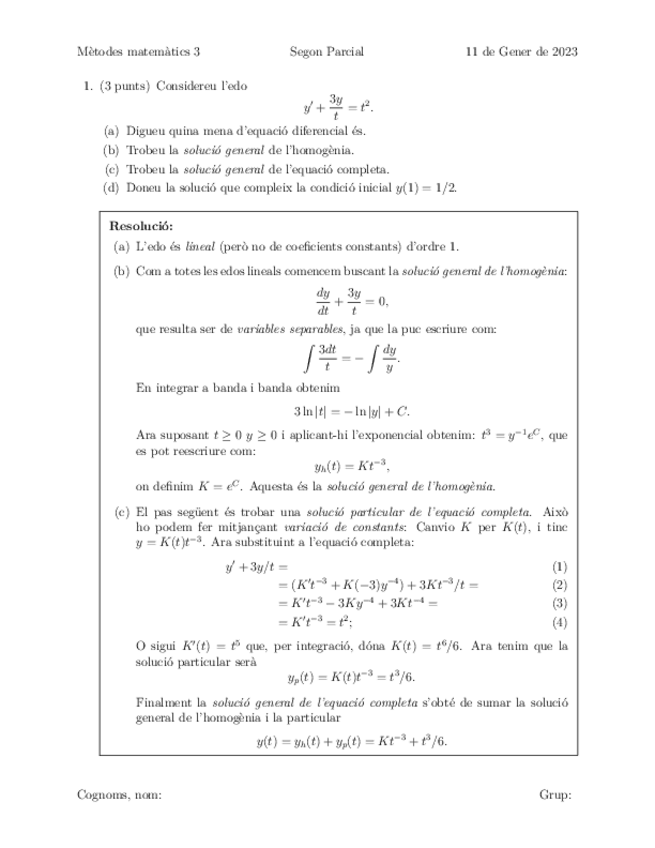
Segon-Parcial-2022-23-mm3-tarda.pdf

6 páginas

content_copy

Archivos recomendados