chevron_left
chevron_right
Todo
Apuntes
Ejercicios
Exámenes
Test
chevron_left
chevron_right

He publicado nuevos apuntes de 2º Métodos Estadísticos: Chuleta A4 Examen Métodos Estadísticos (actualizado 2025).pdf

2 páginas

ejercicios

-

Ejercicios resueltos

He publicado nuevos ejercicios de 2º Métodos Estadísticos: Ejercicios resueltos

Ejercicios-contraste-de-hipotesis.pdf
Ejercicios-estimacion.pdf
Ejercicios-probabilidad.pdf
Ejercicios-variables-aleatorias-continuas.pdf
Ejercicios-variables-aleatorias-discretas.pdf
Enunciados-contraste-hipotesis.pdf

apuntes

-

Resumenes

He publicado nuevos apuntes de 2º Métodos Estadísticos: Resumenes

1Descripcion-de-una-variable.pdf
2Descripcion-de-dos-variables.pdf
3Combinatoria.pdf
4Probabilidad.pdf
5Variables-aleatorias-discretas.pdf
6Variables-aleatorias-continuas.pdf

He publicado nuevos apuntes de 2º Métodos Estadísticos: Formulas-ME.pdf

2 páginas

ejercicios

-

Ejercicios Resueltos Métodos Estadísticos 2023

He publicado nuevos ejercicios de 2º Métodos Estadísticos: Ejercicios Resueltos Métodos Estadísticos 2023

Tema-1.-Ejercicios.pdf
Tema-3.-Ejercicios.pdf
Tema-4.-Ejercicios.pdf
Tema-5.-Ejercicios-Discreta.pdf

apuntes

-

Apuntes Métodos Estadísticos

He publicado nuevos apuntes de 2º Métodos Estadísticos: Apuntes Métodos Estadísticos

Tema-1.-Descripcion-de-una-variable.pdf
Tema-2.-Descripcion-de-dos-variables.pdf
Tema-3.-Metodos-combinatorios.pdf
Tema-4.-Probabilidad.pdf
Tema-5.-Variables-aleatorias.pdf
Tema-6.-Muestreo.pdf

He publicado nuevos apuntes de 2º Métodos Estadísticos: Chuleta-Formulas.pdf

2 páginas

ejercicios

-

Ejercicios T1-T3

He publicado nuevos ejercicios de 2º Métodos Estadísticos: Ejercicios T1-T3

Tema-1-Hoja-1.pdf
Tema-1-Hoja-2.pdf
Tema-2.pdf
Tema-3-Hoja-1.pdf
Tema-3-Hoja-2.pdf

He publicado nuevos examenes de 2º Métodos Estadísticos: EXAMENPEMEInformaticaMayo2022.pdf

2 páginas

He publicado nuevos apuntes de 2º Métodos Estadísticos: Teoria-y-ejercicios.pdf

48 páginas

apuntes

-

cosas formulas, examenes resumenes

He publicado nuevos apuntes de 2º Métodos Estadísticos: cosas formulas, examenes resumenes

Teoria-y-ejercicios.pdf
hoja-de-formulas-y-cosas-para-llevar-al-examen.pdf
examenes-resueltos.pdf

apuntes

-

examen resuelto 2021 junio

He publicado nuevos apuntes de 2º Métodos Estadísticos: examen resuelto 2021 junio

Final2021-1.pdf
solucion-examen-Informatica-junio-2021.pdf

apuntes

-

Apuntes de Estadística T1-T5

He publicado nuevos apuntes de 2º Métodos Estadísticos: Apuntes de Estadística T1-T5

ApuntesEstadistica-Tema5.pdf
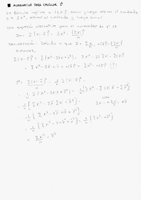
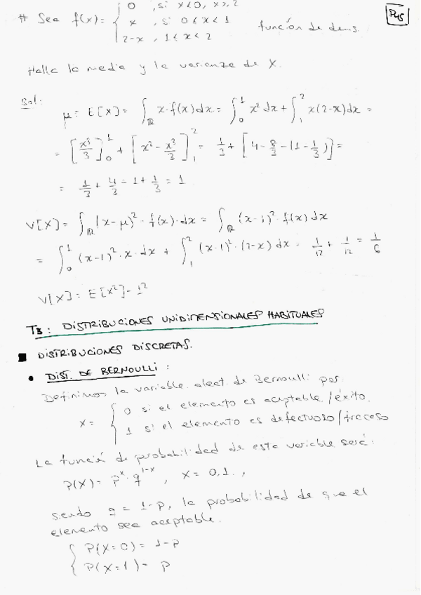
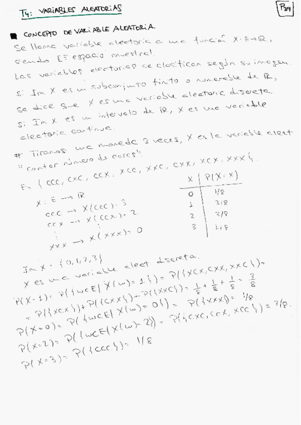
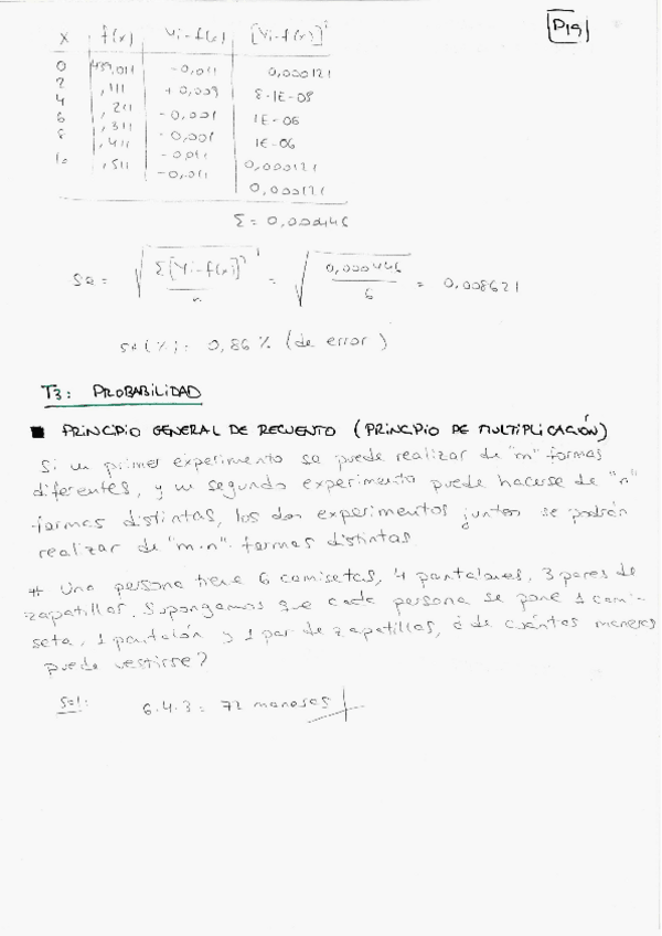
ApuntesEstadistica-AlternativaCalculoS2.pdf
ApuntesEstadistica-Tema1.pdf
ApuntesEstadistica-Tema3.pdf
ApuntesEstadistica-Tema2.pdf
ApuntesEstadistica-Tema4.pdf

He publicado nuevos apuntes de 2º Métodos Estadísticos: Estadistica-Aplicada-exam-resueltos.pdf

20 páginas

ejercicios

-

Hojas de ejercicios resueltas

He publicado nuevos ejercicios de 2º Métodos Estadísticos: Hojas de ejercicios resueltas

Hoja-5.pdf
Hoja-6.pdf
Hoja-2.pdf
Hoja-4.pdf
Hoja-3.pdf
Hoja-1.pdf

examenes

-

exámenes

He publicado nuevos examenes de 2º Métodos Estadísticos: exámenes

PE-junio-2018.pdf
PEseptiembrev4.pdf
EAJunio2017-ex.pdf
PE-20152016Junio-ex.pdf
EA-20152016Junio-exam.pdf
EASeptiembre2017-ex.pdf

apuntes

-

RESUMENES

He publicado nuevos apuntes de 2º Métodos Estadísticos: RESUMENES

Resumen1.pdf
resumen2.pdf
resumen4.pdf
resumen3.pdf

He publicado nuevos apuntes de 2º Métodos Estadísticos: Ejer-Inferencia-Estadistica-Resueltos.pdf

8 páginas

He publicado nuevos apuntes de 2º Métodos Estadísticos: ejercicios-resueltos-de-Analisis-descriptivo-univariable.pdf

3 páginas

He publicado nuevos apuntes de 2º Métodos Estadísticos: Formulas-de-probabilidad.pdf

1 página

apuntes

-

RESUMENES

He publicado nuevos apuntes de 2º Métodos Estadísticos: RESUMENES

RESUMEN-DE-CONTENIDOS-distribuciones-discretas.pdf
RESUMEN-DE-CONTENIDOS-probabilidad-y-distribuciones.pdf

He publicado nuevos apuntes de 2º Métodos Estadísticos: Resumen-intervalos-de-confianza.pdf

1 página

apuntes

-

Teoría completa

He publicado nuevos apuntes de 2º Métodos Estadísticos: Teoría completa

Tema6.pdf
Tema5.pdf
Tema4.pdf
Tema7.pdf
TeoriaT.1-3.pdf

examenes

-

Mayo 2019 RESUELTO

He publicado nuevos examenes de 2º Métodos Estadísticos: Mayo 2019 RESUELTO

P201907011503001.jpg
Ejercicio3-Ejercicio1.pdf

apuntes

-

Hojas de ejercicios

He publicado nuevos apuntes de 2º Métodos Estadísticos: Hojas de ejercicios

Hoja3.pdf
Hoja2.pdf
Hoja1.pdf

apuntes

-

Teoría y Ejercicios de Examen

He publicado nuevos apuntes de 2º Métodos Estadísticos: Teoría y Ejercicios de Examen

Modelos-de-probabilidad.pdf
Variables-aleatorias.pdf
Distribuciones-bidimensionales.pdf
Estimacion-por-intervalos-de-confianza.pdf
Contraste-de-hipotesis.pdf
Probabilidad.pdf

examenes

-

Septiembre 2018 RESUELTO

He publicado nuevos examenes de 2º Métodos Estadísticos: Septiembre 2018 RESUELTO

septiembre2018sol.pdf
septiembre2018.pdf

examenes

-

Junio 2018 RESUELTO

He publicado nuevos examenes de 2º Métodos Estadísticos: Junio 2018 RESUELTO

junio2018-1.pdf
junio2018sol.pdf

He publicado nuevos ejercicios de 2º Métodos Estadísticos: Ejercicios de examen resueltos + teoría.pdf

48 páginas

He publicado nuevos ejercicios de 2º Métodos Estadísticos: Hoja 4.pdf

4 páginas

He publicado nuevos ejercicios de 2º Métodos Estadísticos: Hoja 8.pdf

1 página

ejercicios

-

Hojas de ejercicios

He publicado nuevos ejercicios de 2º Métodos Estadísticos: Hojas de ejercicios

tema8.pdf
tema1.pdf
tema7.pdf
tema6.pdf
tema2.pdf
tema5.pdf

He publicado nuevos ejercicios de 2º Métodos Estadísticos: Hoja 3.pdf

3 páginas

He publicado nuevos ejercicios de 2º Métodos Estadísticos: Hoja 6.pdf

1 página

He publicado nuevos ejercicios de 2º Métodos Estadísticos: Hoja 7.pdf

3 páginas

He publicado nuevos examenes de 2º Métodos Estadísticos: Jun 18.pdf

1 página

He publicado nuevos ejercicios de 2º Métodos Estadísticos: Hoja 5.pdf

6 páginas

He publicado nuevos ejercicios de 2º Métodos Estadísticos: Hoja 1.pdf

8 páginas

He publicado nuevos ejercicios de 2º Métodos Estadísticos: Hoja 2.pdf

3 páginas

He publicado nuevos ejercicios de 2º Métodos Estadísticos: Ejercicios de examen.pdf

1 página

He publicado nuevos ejercicios de 2º Métodos Estadísticos: ME-Ejercicios-Tema1.pdf

9 páginas

He publicado nuevos apuntes de 2º Métodos Estadísticos: ME-Tema1.pdf

18 páginas

He publicado nuevos ejercicios de 2º Métodos Estadísticos: ME-Ejercicios-Tema2.pdf

8 páginas

He publicado nuevos test de 2º Métodos Estadísticos: TestTema3.pdf

4 páginas

Corregido

3 páginas

He publicado nuevos ejercicios de 2º Métodos Estadísticos: ProblemasTema1.pdf

4 páginas
¡Estás al día!

¡Estás al día!

Has visto todos los archivos