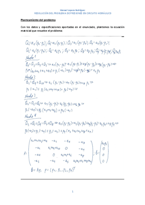
Anónimo
Portada
Asignatura
Grado en Ingeniería Electrónica Industrial (UCO)
Métodos Matemáticos de la ingeniería Electrónica
Fecha de subida
23 nov 2021
Categoría
ejercicios
Etiquetas
Apuntes - Matlab Para Ingenieros 1ra Edicion Holly Moore.pdf
pdf
619 páginas
7
0
Apuntes - Matlab y sus Aplicaciones en las Ciencias y la Ingenieria - César Perez.pdf
602 páginas
6
Apuntes - Métodos Numéricos para ingenieros.pdf
1001 páginas
4
Apuntes - Analisis numericos.pdf
450 páginas
5
Apuntes - Numerical Methods.pdf
802 páginas
3
Apuntes - Metodos numericos con matlab PH 2000.pdf
734 páginas
Apuntes - Ejercicio-esfera.pdf
4 páginas
2
Apuntes - Trenes.pdf
2 páginas
Apuntes - Ejercicio-Robcenttica.pdf
1 página
Ejercicios - Ejercicio-tuberas.pdf
Apuntes - Derivacicentn-e-integracicentn.pdf