Portada
Asignatura
Grado en Física (UCM)
Métodos Matemáticos I
Fecha de subida
10 jul 2023
Categoría
apuntes
Etiquetas
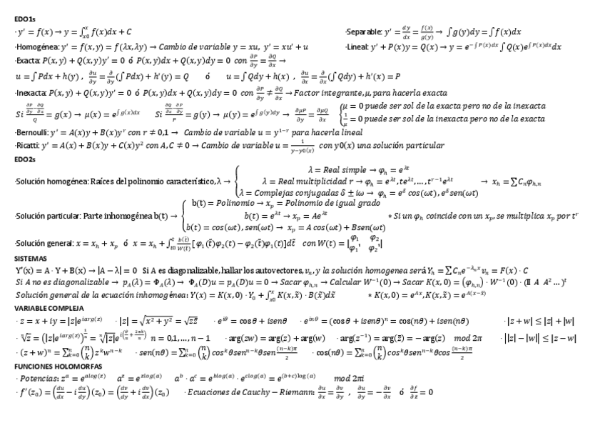
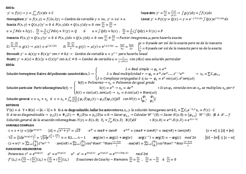
Apuntes - Formulario-Variable-Compleja.pdf
pdf
2 páginas
410
4
Apuntes - FormularioEcuacionesDiferenciales.pdf
1 página
343
6
Ejercicios - Soluciones-T2-y-T3-Sistemas-y-ecuaciones-diferenciales.pdf
26 páginas
226
2
Exámenes - Examenes-resueltos.pdf
83 páginas
199
Ejercicios - mm1probsEDO20-21SOLUCIONES.pdf
70 páginas
292
1
Ejercicios - Soluciones-Temas-2-y-3-MMI.pdf
234
Apuntes - Formulario-Metodos-I.pdf
150
Exámenes - MMI-examen-28-1-2019-soluciones.pdf
6 páginas
159
Apuntes - MMI-examen-28-1-2019-soluciones.pdf
200
3
Exámenes - MMI-examen-13-1-2022-sol.pdf
4 páginas
185
Exámenes - Febrero 2018 resuelto.pdf
8 páginas
140
Apuntes - MMI-examen-4-2-2021-sol.pdf
3 páginas
182
Exámenes - 2023.pdf
7 páginas
166
5
Ejercicios - Temas-2-3.pdf
32 páginas
165
Exámenes - 2022.pdf
10 páginas
148
Exámenes - mm1-sep14-sols.pdf
5 páginas
168
Exámenes - MM1_Ex_Ene18_sol_b.pdf
102
Apuntes - MMI-examen-9-9-2020-sol.pdf
Exámenes - ec dif examen.pdf
29 páginas
95
Exámenes - MMI-examen-25-6-2019-soluciones.pdf
133