ivorac
TUTELADAS RESOLUCIÓN
Boletin-5-serie-de-potencias.pdf
11 páginas
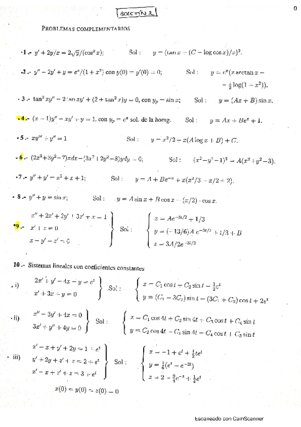
Boletin-2-sistemasproblemas.pdf
Boletin-3-extra.pdf
13 páginas
Boletin-1-ecuaciones-diferenciales.pdf
Boletin-4-extra.pdf
9 páginas
Boletin-6-extra-potencias.pdf
5 páginas
Boletin-7-funciones-especiales.pdf
6 páginas
Apuntes - Boletin-2-sistemasproblemas.pdf
pdf
249
0
Apuntes - Boletin-1-ecuaciones-diferenciales.pdf
224
Exámenes - Formulario-examen
formulario examen
32
Apuntes - Boletin-7-funciones-especiales.pdf
123
Exámenes - examen-enero-2021-resuelto.pdf
116
Apuntes - Resumen-MMI.pdf
3 páginas
124
Apuntes - Boletin-5-serie-de-potencias.pdf
127
Ejercicios - BOLETIN-4-MMI.pdf
24 páginas
79
Apuntes - Apuntes-MM1.pdf
22 páginas
111
Ejercicios - tuteladas-met.matI.pdf
49 páginas
114
Apuntes - Formulario.pdf
0 páginas
73
Apuntes - Resumen-Met-Mat-I.pdf
4 páginas
60
Ejercicios - Ejercicios-3.pdf
64
Ejercicios - TuteladaTema1.pdf
103
Exámenes - Enero-2014.pdf
18 páginas
65
Ejercicios - Boletin-2-Ejercicios-Resuelto.pdf
113
Ejercicios - Ejercicios-boletin-2.pdf
54 páginas
77
Ejercicios - TuteladaTema2.pdf
97
Apuntes - APUNTES-METODOS-T1-T4.pdf
46 páginas
53
1
Apuntes - Boletin-6-extra-potencias.pdf