Métodos Matemáticos II

Todo
Apuntes
Ejercicios
Exámenes
Trabajos
chevron_left
chevron_right

He publicado nuevos apuntes de 2º Métodos Matemáticos II: resumen-temas-metodos-II.pdf

12 páginas

ejercicios

-

Tuteladas mm2

He publicado nuevos ejercicios de 2º Métodos Matemáticos II: Tuteladas mm2

B2-funciones-mm2.pdf
B5-residuos-mm2.pdf
B4-mm2.pdf
B1-complejos-mm2.pdf
B3-cauchy-mm2.pdf

ejercicios

-

boletines

He publicado nuevos ejercicios de 2º Métodos Matemáticos II: boletines

mmii-boletin-1.pdf

ejercicios

-

TUTELADAS MMII

He publicado nuevos ejercicios de 2º Métodos Matemáticos II: TUTELADAS MMII

BOLETIN-1-MMII.pdf
BOLETIN-2-MMII.pdf
BOLETIN-3-MMII.pdf
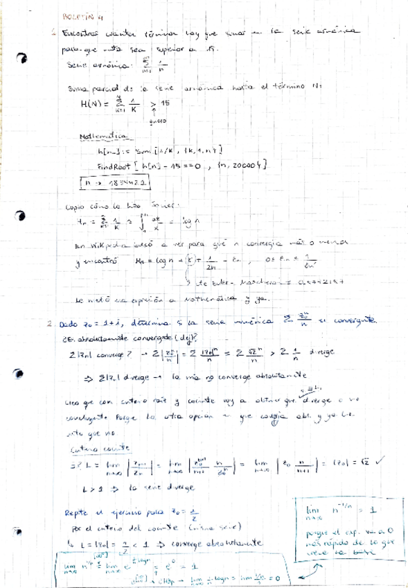
BOLETIN-4-MMII.pdf
BOLETIN-5-MMII.pdf
BOLETIN-REPASO-MMII.pdf

apuntes

-

TEORÍA MMII

He publicado nuevos apuntes de 2º Métodos Matemáticos II: TEORÍA MMII

TEORIA-1-MMII.pdf
TEORIA-2-MMII.pdf
TEORIA-3-MMII.pdf
TEORIA-4-MMII.pdf
TEORIA-5-MMII.pdf
TEORIA-6-MMII.pdf

ejercicios

-

Tuteladas metmatII

He publicado nuevos ejercicios de 2º Métodos Matemáticos II: Tuteladas metmatII

Boletín 1.pdf
Boletín 2.pdf
Boletín 3.pdf
Boletín 4.pdf
boletin-5.pdf
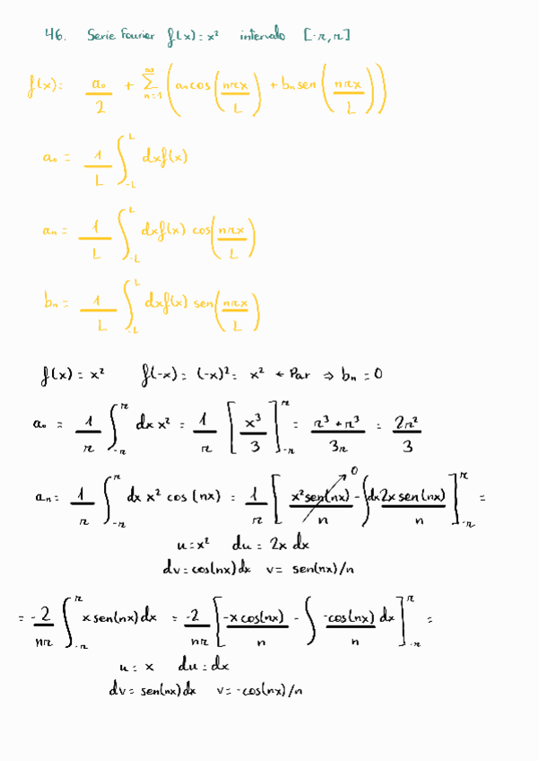
Boletin-5-fourier.pdf

He publicado nuevos apuntes de 2º Métodos Matemáticos II: cuestiones clases teoria 2024.pdf

8 páginas

He publicado nuevos apuntes de 2º Métodos Matemáticos II: ResumenTodoMetodos2.pdf

13 páginas

He publicado nuevos apuntes de 2º Métodos Matemáticos II: Teoremas-todo-metodos.pdf

13 páginas

He publicado nuevos apuntes de 2º Métodos Matemáticos II: Propiedades-todo-metodos.pdf

7 páginas

He publicado nuevos apuntes de 2º Métodos Matemáticos II: Definiciones-todo-metodos.pdf

5 páginas

ejercicios

-

butlletins MÈTODES MATEMÀTICS 2

He publicado nuevos ejercicios de 2º Métodos Matemáticos II: butlletins MÈTODES MATEMÀTICS 2

but1-mm2.pdf
but2-mm2.pdf
but3-mm2.pdf
but4-mm2.pdf
but5-mm2.pdf
but6-mm2.pdf

apuntes

-

mm2 - resums per tema

He publicado nuevos apuntes de 2º Métodos Matemáticos II: mm2 - resums per tema

t1-mm2.pdf
t2-mm2.pdf
t3-mm2.pdf
t4-mm2.pdf
t5-mm2.pdf
t6-mm2.pdf

ejercicios

-

Butlletins

He publicado nuevos ejercicios de 2º Métodos Matemáticos II: Butlletins

Capitol-5.pdf
Capitol-4.pdf
Capitol-8.pdf
Capitol-3.pdf
Capitol-9.pdf
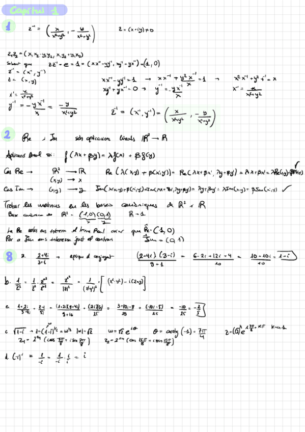
Capitol-1.pdf

apuntes

-

Boletines castellano 2023

He publicado nuevos apuntes de 2º Métodos Matemáticos II: Boletines castellano 2023

Boletin2.pdf
Boletin3.pdf
Boletin4.pdf
Boletin5.pdf

trabajos

-

ENTREGABLES

He publicado nuevos trabajos de 2º Métodos Matemáticos II: ENTREGABLES

ENTREGABLE-4.-MMII.-Irene.pdf
ENTREGABLE-3.pdf
MMII.-Entregable-2.-Irene-1.pdf
entregrable-1-mmii-Irene-1.pdf

He publicado nuevos ejercicios de 2º Métodos Matemáticos II: MM2Ejercicios.pdf

60 páginas

He publicado nuevos apuntes de 2º Métodos Matemáticos II: MM2Teoria.pdf

81 páginas

He publicado nuevos ejercicios de 2º Métodos Matemáticos II: Problemas-Resueltos-Enteros-Metodos-Matematicos-II-Castellano.pdf

64 páginas

apuntes

-

Apuntes Métodos Matemáticos II Castellano

He publicado nuevos apuntes de 2º Métodos Matemáticos II: Apuntes Métodos Matemáticos II Castellano

Tema-1-Numeros-complejos.pdf
Tema-2-Topologia-en-C.pdf
Tema-3-Funciones-de-variable-compleja.pdf
Tema-4-Funciones-elementales.pdf
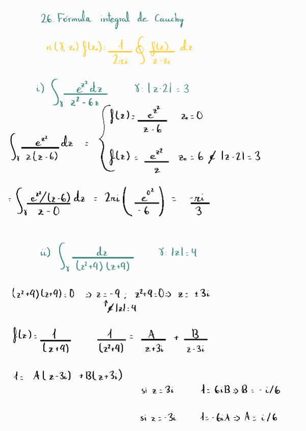
Tema-5-Teorema-de-Cauchy.pdf
Tema-6-Formula-integral-de-Cauchy.pdf
Anónimo

@Anónimo

ejercicios

-

Boletines Ejercicios

He publicado nuevos ejercicios de 2º Métodos Matemáticos II: Boletines Ejercicios

Boletin-T8.pdf
Boletin-T7.pdf
Boletin-T6.pdf
Boletin-T5.pdf
Boletin-T4.pdf
Boletin-T3.pdf
Anónimo

@Anónimo

He publicado nuevos apuntes de 2º Métodos Matemáticos II: Formulario-y-Resumen.pdf

5 páginas

He publicado nuevos examenes de 2º Métodos Matemáticos II: examenProblemes1aconvo2023mm2.pdf

1 página

He publicado nuevos apuntes de 2º Métodos Matemáticos II: Problemes-Resolts-de-Metodes-II.pdf

49 páginas

ejercicios

-

Tutelades resoltes

He publicado nuevos ejercicios de 2º Métodos Matemáticos II: Tutelades resoltes

MetMatII-But1.pdf
MetMatII-But2Entregable2.pdf
MetMatII-But5.pdf
MetMatII-But4.pdf
MetMatII-But3Entregable3.pdf
MetMatII-But6.pdf

apuntes

-

Apunts teoria

He publicado nuevos apuntes de 2º Métodos Matemáticos II: Apunts teoria

MetMatII6.pdf
MetMatII5.pdf
MetMatII4.pdf
MetMatII3.pdf
MetMatII7.pdf
MetMatII2.pdf

He publicado nuevos ejercicios de 2º Métodos Matemáticos II: Ent-T7-residu-infinit.pdf

3 páginas

He publicado nuevos ejercicios de 2º Métodos Matemáticos II: Ent-T3-conds-CR.pdf

4 páginas

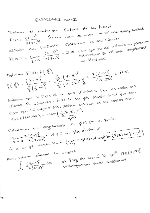
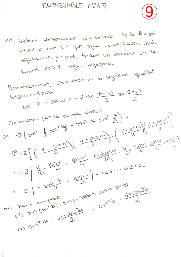
He publicado nuevos ejercicios de 2º Métodos Matemáticos II: Ent-T2-branca-arcos.pdf

4 páginas

He publicado nuevos ejercicios de 2º Métodos Matemáticos II: BUT-12.pdf

8 páginas

apuntes

-

Temes resumits amb aclariments

He publicado nuevos apuntes de 2º Métodos Matemáticos II: Temes resumits amb aclariments

T9-RESUMACLARIMENTS.pdf
T6-RESUMACLARIMENTS.pdf
T3-RESUMACLARIMENTS.pdf
T4-RESUMACLARIMENTS.pdf
T8-RESUMACLARIMENTSexemplificat.pdf
T7-RESUMACLARIMENTS.pdf

apuntes

-

butlletins

He publicado nuevos apuntes de 2º Métodos Matemáticos II: butlletins

butlleti3-mII.pdf
Butlleti-1-mmII.pdf
Butlleti-2-mmII.pdf
entregable-3.pdf
Butlleti-4-mmII.pdf
Butlleti-5-mmII.pdf

apuntes basados

18 páginas

apuntes

-

Resums

He publicado nuevos apuntes de 2º Métodos Matemáticos II: Resums

5.pdf
6.pdf
2.pdf
3.pdf
1.pdf
7.pdf

apuntes

-

apunts mètodes II

He publicado nuevos apuntes de 2º Métodos Matemáticos II: apunts mètodes II

tema1-metII.pdf

apuntes

-

Resums teoria - MM II

He publicado nuevos apuntes de 2º Métodos Matemáticos II: Resums teoria - MM II

Exportar-T1-Els-nombres-complexos.pdf

ejercicios

-

Exercicis temes 4 - 8 (2020)

He publicado nuevos ejercicios de 2º Métodos Matemáticos II: Exercicis temes 4 - 8 (2020)

Exercicis-MMII-Tema-8.pdf
Exercicis-MMII-Tema-7.pdf
Exercicis-MMII-Tema-4.pdf
Exercicis-MMII-Tema-5.pdf
Exercicis-MMII-Tema-6.pdf

ejercicios

-

Todos los ejercicios MMII bonitos

He publicado nuevos ejercicios de 2º Métodos Matemáticos II: Todos los ejercicios MMII bonitos

1-Ejercicios-MMII-Complejos-.pdf
3-Ejercicios-MMII-Series-Potencias-ceros-y-singularidades.pdf
2-Ejercicios-MMII-Integrales-C-.pdf
6-Ejercicios-MMII-Fourier-y-cosas.pdf
5-Ejercicios-MMII-Residuos-.pdf
4-Ejercicios-MMII-Series-de-Taylor-y-Laurent.pdf

apuntes

-

Lliurables + Exàmens Resolts! - Valencià

He publicado nuevos apuntes de 2º Métodos Matemáticos II: Lliurables + Exàmens Resolts! - Valencià

Lliurable-4.pdf
Metodes-Matematics-II210629133413.pdf

ejercicios

-

Entregables

He publicado nuevos ejercicios de 2º Métodos Matemáticos II: Entregables

Entregable4MMII.pdf
3.pdf
1.pdf
2.pdf

ejercicios

-

Tuteladas y problemas parte de teoría

He publicado nuevos ejercicios de 2º Métodos Matemáticos II: Tuteladas y problemas parte de teoría

MMII-tuteladas.pdf
MMII-problemas-parte-teoria.pdf

He publicado nuevos apuntes de 2º Métodos Matemáticos II: MMII-resumen.pdf

6 páginas

examenes

-

Pruebas de evaluación continua resueltas

He publicado nuevos examenes de 2º Métodos Matemáticos II: Pruebas de evaluación continua resueltas

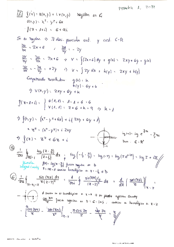
MMII-prueba3-2017.pdf
MMII-prueba2-2017.pdf
MMII-prueba3-2016.pdf
MMII-prueba1-2017.pdf

apuntes

-

TUTELADAS RESOLUCIÓN

He publicado nuevos apuntes de 2º Métodos Matemáticos II: TUTELADAS RESOLUCIÓN

BOLETIN-3-SERIES.pdf
BOLETIN-2-TEOREMA-CAUCHY.pdf
BOLETIN-5-APLICACION-TA-RESIDUOS-A-INTEGRANTES.pdf
BOLETIN-4-Ta-RESIDUOS.pdf
BOLETIN-2-CR.pdf
BOLETIN-6-FOURIER.pdf