essssssss
EXAMEN 2019 RESUELTO
20-03-2019.pdf
2 páginas
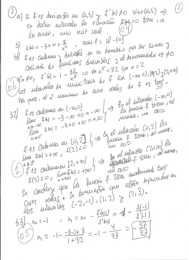
ejerc-1.jpg
ejerc-2.jpg
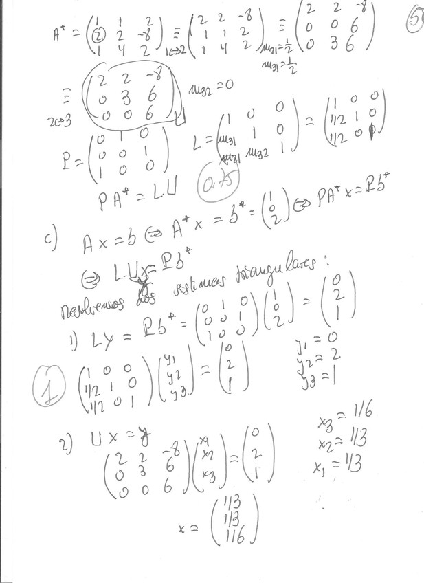
ejerc-3.jpg
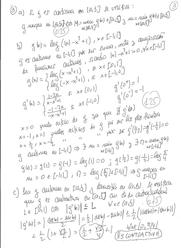
ejerc-4.1.jpg
ejerc-4.2.jpg
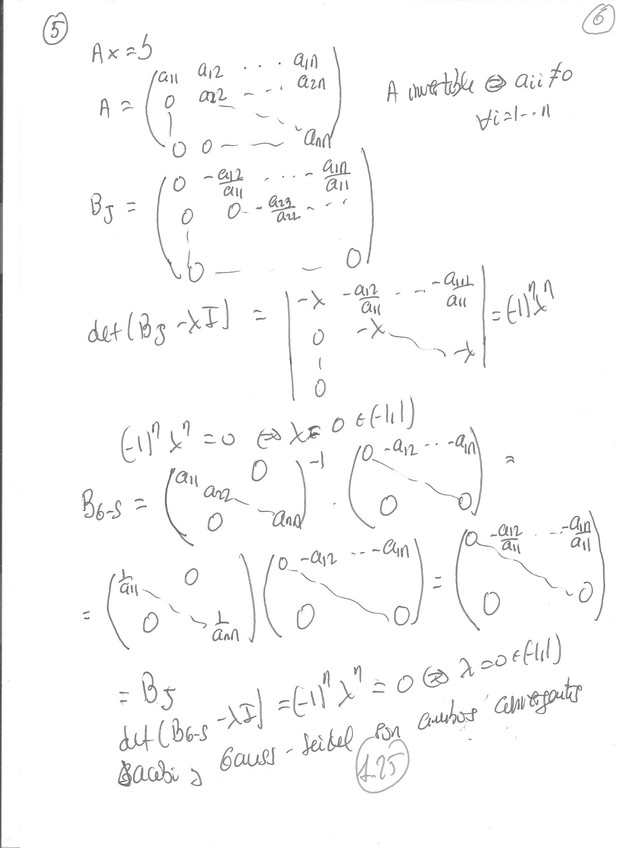
ejerc-5.jpg
Exámenes - numerical_methods_exam_2018.pdf
pdf
1 página
6
0
Apuntes - Esquema-resumen-metodos-numericos.pdf
4 páginas
Apuntes - numerical_methods_chapter2.pdf
7 páginas
2
Apuntes - numerical_methods_chapter1.pdf
4
Apuntes - numerical_methods_chapter6.pdf
5 páginas
1
Apuntes - numerical_methods_chapter5.pdf
Apuntes - num_met_theory_chapter4.pdf
Exámenes - 16-05-2022.-Resuelto.pdf
13 páginas
Apuntes - ejerc-4.2.jpg
jpg
Exámenes - 31-05-2021.-Resuelto.pdf
Exámenes - Ex-Res.29-5.pdf
Exámenes - Ex-res28-05-13.pdf
Exámenes - 26-05-2015.-Res.pdf
12 páginas
Exámenes - 14-05-2019.-Res.pdf
Exámenes - 12-05-2014.-Res..pdf
9 páginas
Exámenes - 10-05-2017.-Resuelto.pdf
10 páginas
Exámenes - 05-06-2020-resuelto.pdf
Exámenes - 19-3-11controltema3soluciones.pdf
6 páginas
Apuntes - ejerc-5.jpg
Apuntes - ejerc-4.1.jpg