chevron_left
chevron_right
Todo
Apuntes
Exámenes
Prácticas
chevron_left
chevron_right

He publicado nuevos apuntes de 1º Métodos y Paquetes Estadísticos: Practica-5.pdf

6 páginas

He publicado nuevos apuntes de 1º Métodos y Paquetes Estadísticos: PRACTICA-4-R.pdf

6 páginas

He publicado nuevos apuntes de 1º Métodos y Paquetes Estadísticos: Practica-3.pdf

5 páginas

He publicado nuevos apuntes de 1º Métodos y Paquetes Estadísticos: TEORIA-ESTADISTICA.pdf

6 páginas

apuntes

-

Test informática

He publicado nuevos apuntes de 1º Métodos y Paquetes Estadísticos: Test informática

CUESTIONES-I-INFORMATICA.pdf
CUESTIONES-INFORMATICA-II.pdf

He publicado nuevos apuntes de 1º Métodos y Paquetes Estadísticos: Estadistica-tema-2.pdf

6 páginas

He publicado nuevos apuntes de 1º Métodos y Paquetes Estadísticos: WhatsApp-Image-2020-04-27-at-00.pdf

5 páginas

He publicado nuevos apuntes de 1º Métodos y Paquetes Estadísticos: probabilidad20200422133125.pdf

12 páginas

practicas

-

RStudio

He publicado nuevos practicas de 1º Métodos y Paquetes Estadísticos: RStudio

RStudio.pdf

examenes

-

Ejercicios, problemas y test de exámenes

He publicado nuevos examenes de 1º Métodos y Paquetes Estadísticos: Ejercicios, problemas y test de exámenes

Test-examen.pdf
Problemas-examen.pdf
Estadistica-Probabilidad-Ejercicios-varios.pdf

apuntes

-

Apuntes y teoría

He publicado nuevos apuntes de 1º Métodos y Paquetes Estadísticos: Apuntes y teoría

Condicionada.pdf
Tablas-Estadisticas.pdf
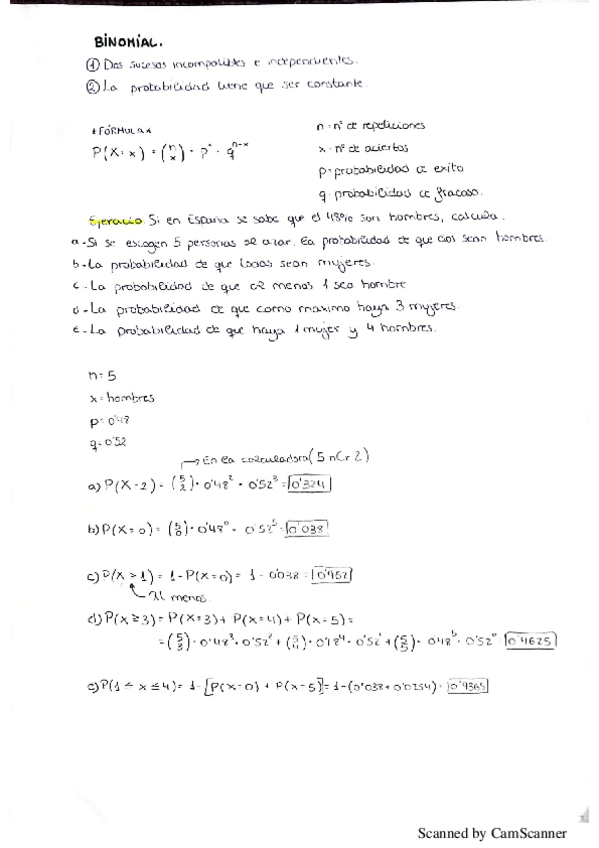
Binomial.pdf
Hipergeometrica.pdf
Tabla-Resumen-Estadistica-Descriptiva.pdf
Intervalo-de-confianza.pdf

examenes

-

examen mpe

He publicado nuevos examenes de 1º Métodos y Paquetes Estadísticos: examen mpe

exámen métodos junio 2014 resuelto.pdf
IMG-20140513-WA0012.jpg
IMG-20140513-WA0013.jpg
IMG-20140513-WA0014.jpg
IMG-20140605-WA0016.jpg
IMG-20140513-WA0020.jpg

examenes

-

Examen Final

He publicado nuevos examenes de 1º Métodos y Paquetes Estadísticos: Examen Final

IMG-20150521-WA0001.jpg
IMG-20150521-WA0002.jpg
IMG-20150521-WA0003.jpg
IMG-20150521-WA0004.jpg

He publicado nuevos practicas de 1º Métodos y Paquetes Estadísticos: Practicas_RStudio_.pdf

5 páginas

He publicado nuevos examenes de 1º Métodos y Paquetes Estadísticos: IMG-20150521-WA0005.jpg

Imagen

He publicado nuevos examenes de 1º Métodos y Paquetes Estadísticos: Examen Septiembre 2011.pdf

3 páginas

He publicado nuevos examenes de 1º Métodos y Paquetes Estadísticos: Examen Junio 2011.pdf

3 páginas

He publicado nuevos examenes de 1º Métodos y Paquetes Estadísticos: Examen Estadística.pdf

5 páginas

Algunos problemas resueltos de MPE

8 páginas
¡Estás al día!

¡Estás al día!

Has visto todos los archivos