BGNNF-micro.pdf

mariaafdeez_

Tablas resumen

37 archivos·

MICRO-T18-2.pdf

3 páginas

GENERO-NEISSERIA.pdf

3 páginas

ENTEROBACTERIAS.pdf

5 páginas

Mecanismos-resist.-antimicrobianos.pdf

1 página

Estreptococo-y-Enterococo-3.pdf

3 páginas

ORDEN-RICKETTSIALES--BARTONELLA.pdf

2 páginas

Tabla-antimicrobianos.pdf

1 página

MICRO-T15.pdf

4 páginas

GENERO-CHLAMYDIACEAE-Y-MICOPLASMAS.pdf

3 páginas

ESPIROQUETAS.pdf

2 páginas

BLOQUE-HONGOS.pdf

21 páginas

MICOBACTERIAS.pdf

5 páginas

MICRO-T17-1.pdf

2 páginas

SALMONELLA.pdf

1 página

MICRO-T19.pdf

2 páginas

BGNNF-micro.pdf

3 páginas

T31-Virus-herpes-humanos.pdf

2 páginas

Protozoos-de-cavidades-naturales-ciclos.pdf

3 páginas

Picornavirus.pdf

2 páginas

Protozoos-hematicos-y-tisulares-II.pdf

2 páginas

Protozoos-hematicos-y-tisulares-I.pdf

2 páginas

PROTOZOOS-DE-CAVIDADES-NATURALES.pdf

2 páginas

T32-Virus-productores-de-gastroenteritis.pdf

2 páginas

T33-Hepatitis-viricas.pdf

2 páginas

Cestodes.pdf

3 páginas

TEMA-33-VHB-and-VHC-2.pdf

3 páginas

Ciclos-biologicos-cestodes.pdf

3 páginas

Tema-30-Virus-exantematicos.pdf

2 páginas

Trematodes.pdf

2 páginas

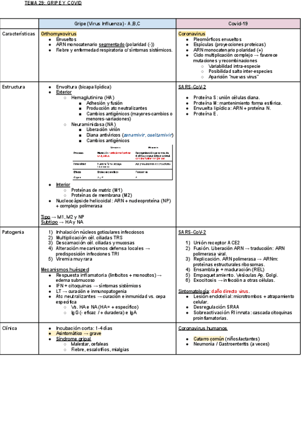
Gripe-y-COVID.pdf

2 páginas

Ciclos-biologicos-Trematodes.pdf

2 páginas

Ciclos-Protozoos-hematicos-y-tisulares.pdf

3 páginas

Etiologia-Meningitis.pdf

1 página

Micro-T53.pdf

6 páginas

ITS-MUJERES.pdf

1 página

Nematodes.pdf

6 páginas

Otros-virus-respiratorios.pdf

1 página

content_copy

Archivos recomendados